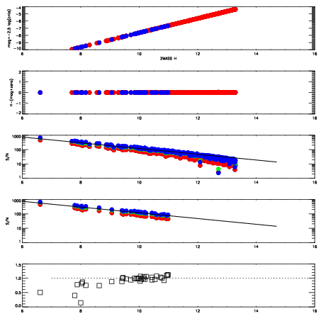
Left plots: red are targets, blue are telluric. Observed mags are calculated from median value of green chip. Zeropoint gives overall throughput: bigger number is more throughput.
First spatial plots: circles are objects, squares are tellurics, crosses are sky fibers. Colors give deviation of observed mag from expected 2MASS mag using the median zeropoint; red is brighter
Second spatial plots: circles are sky fibers. Colors give sky line brightness relative to plate median sky line brightness
FrameNreadsZeropointsMag plots Spatial mag deviation Spatial sky 16325A emission deviations (filled: sky, open: star) Spatial sky continuum emission Spatial sky telluric CO2 absorption deviations (filled: H < 10)
0 0
RedGreenBlue
z17.64
znorm Inf
sky -Inf -Inf -NaN
S/N 21.0 36.7 39.2
S/N(c) 0.0 0.0 0.0
SN(E/C) 0.98

IPAIRNAMESHIFTNEWSHIFTS/N NAMESHIFTNEWSHIFTS/N
0 06770027 0.484748 0.00000 18.5925 06770025 0.00000 0.484748 18.8673
1 06770031 0.483905 0.000843018 18.6926 06770032 0.00183947 0.482909 18.9506
2 06770026 0.483885 0.000863016 18.6779 06770028 -0.00314545 0.487893 18.8863
3 06770030 0.483304 0.00144401 18.4789 06770029 -0.00216666 0.486915 18.7616