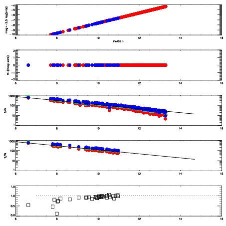
Left plots: red are targets, blue are telluric. Observed mags are calculated from median value of green chip. Zeropoint gives overall throughput: bigger number is more throughput.
First spatial plots: circles are objects, squares are tellurics, crosses are sky fibers. Colors give deviation of observed mag from expected 2MASS mag using the median zeropoint; red is brighter
Second spatial plots: circles are sky fibers. Colors give sky line brightness relative to plate median sky line brightness
FrameNreadsZeropointsMag plots Spatial mag deviation Spatial sky 16325A emission deviations (filled: sky, open: star) Spatial sky continuum emission Spatial sky telluric CO2 absorption deviations (filled: H < 10)
0 0
RedGreenBlue
z17.64
znorm Inf
sky -NaN -NaN -Inf
S/N 26.9 46.0 48.4
S/N(c) 0.0 0.0 0.0
SN(E/C) 0.93

IPAIRNAMESHIFTNEWSHIFTS/N NAMESHIFTNEWSHIFTS/N
0 07000077 0.484282 0.00000 19.1138 07000076 0.00258439 0.481698 19.1106
1 07000074 0.484122 0.000159979 19.1770 07000075 0.00262848 0.481654 19.1459
2 07000078 0.484280 1.99676e-06 19.1053 07000079 0.00423979 0.480042 19.0927
3 07000073 0.483537 0.000744998 19.0871 07000072 0.00000 0.484282 19.0349