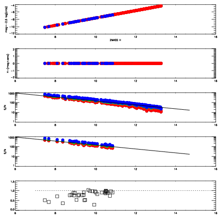
Left plots: red are targets, blue are telluric. Observed mags are calculated from median value of green chip. Zeropoint gives overall throughput: bigger number is more throughput.
First spatial plots: circles are objects, squares are tellurics, crosses are sky fibers. Colors give deviation of observed mag from expected 2MASS mag using the median zeropoint; red is brighter
Second spatial plots: circles are sky fibers. Colors give sky line brightness relative to plate median sky line brightness
FrameNreadsZeropointsMag plots Spatial mag deviation Spatial sky 16325A emission deviations (filled: sky, open: star) Spatial sky continuum emission Spatial sky telluric CO2 absorption deviations (filled: H < 10)
0 0
RedGreenBlue
z17.64
znorm Inf
sky -Inf -Inf -Inf
S/N 36.7 61.0 67.5
S/N(c) 0.0 0.0 0.0
SN(E/C) 0.86

IPAIRNAMESHIFTNEWSHIFTS/N NAMESHIFTNEWSHIFTS/N
0 06980085 0.481929 0.00000 19.1807 06980086 0.00360880 0.478320 19.1983
1 06980088 0.477470 0.00445899 19.1857 06980087 0.00361985 0.478309 19.2086
2 06980084 0.478305 0.00362399 19.1699 06980083 0.00000 0.481929 19.1727
3 06980092 0.478507 0.00342199 19.1575 06980090 0.000440879 0.481488 19.1683
4 06980093 0.479987 0.00194201 19.1531 06980094 -0.00102085 0.482950 19.1657
5 06980089 0.480966 0.000963002 19.1425 06980091 -0.00183345 0.483762 19.1474