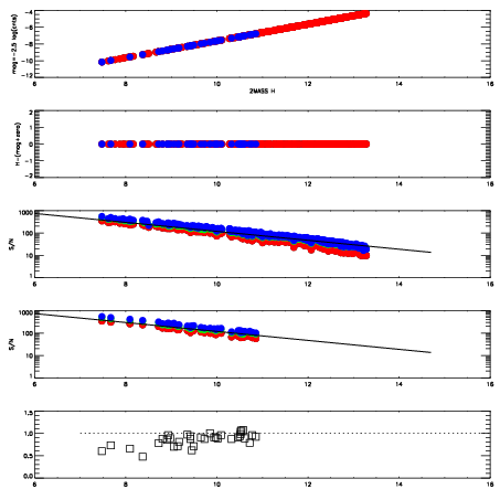
Left plots: red are targets, blue are telluric. Observed mags are calculated from median value of green chip. Zeropoint gives overall throughput: bigger number is more throughput.
First spatial plots: circles are objects, squares are tellurics, crosses are sky fibers. Colors give deviation of observed mag from expected 2MASS mag using the median zeropoint; red is brighter
Second spatial plots: circles are sky fibers. Colors give sky line brightness relative to plate median sky line brightness
FrameNreadsZeropointsMag plots Spatial mag deviation Spatial sky 16325A emission deviations (filled: sky, open: star) Spatial sky continuum emission Spatial sky telluric CO2 absorption deviations (filled: H < 10)
0 0
RedGreenBlue
z17.64
znorm Inf
sky -Inf -Inf -Inf
S/N 28.7 48.2 52.0
S/N(c) 0.0 0.0 0.0
SN(E/C) 0.89

IPAIRNAMESHIFTNEWSHIFTS/N NAMESHIFTNEWSHIFTS/N
0 07050043 0.467158 0.00000 19.0178 07050037 0.00000 0.467158 18.9892
1 07050039 0.465415 0.00174299 19.1613 07050044 0.00149752 0.465660 19.1222
2 07050038 0.463483 0.00367498 19.1228 07050040 0.00194216 0.465216 19.1037
3 07050042 0.466309 0.000848979 19.0539 07050041 0.00308708 0.464071 19.0771