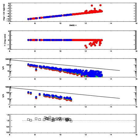
Left plots: red are targets, blue are telluric. Observed mags are calculated from median value of green chip. Zeropoint gives overall throughput: bigger number is more throughput.
First spatial plots: circles are objects, squares are tellurics, crosses are sky fibers. Colors give deviation of observed mag from expected 2MASS mag using the median zeropoint; red is brighter
Second spatial plots: circles are sky fibers. Colors give sky line brightness relative to plate median sky line brightness
FrameNreadsZeropointsMag plots Spatial mag deviation Spatial sky 16325A emission deviations (filled: sky, open: star) Spatial sky continuum emission Spatial sky telluric CO2 absorption deviations (filled: H < 10)
0 0
RedGreenBlue
z17.63
znorm Inf
sky -NaN -NaN -Inf
S/N 2.2 3.3 4.3
S/N(c) 0.0 0.0 0.0
SN(E/C) 1.08

IPAIRNAMESHIFTNEWSHIFTS/N NAMESHIFTNEWSHIFTS/N
0 07260076 0.472127 0.00000 16.0236 07260082 0.00252154 0.469605 17.1131
1 07260077 0.471819 0.000307977 16.5672 07260079 0.00294384 0.469183 17.3787
2 07260080 0.471479 0.000647992 15.7745 07260078 0.00121562 0.470911 16.9548