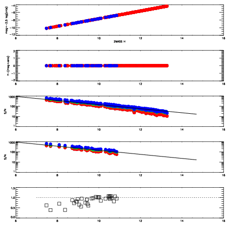
Left plots: red are targets, blue are telluric. Observed mags are calculated from median value of green chip. Zeropoint gives overall throughput: bigger number is more throughput.
First spatial plots: circles are objects, squares are tellurics, crosses are sky fibers. Colors give deviation of observed mag from expected 2MASS mag using the median zeropoint; red is brighter
Second spatial plots: circles are sky fibers. Colors give sky line brightness relative to plate median sky line brightness
FrameNreadsZeropointsMag plots Spatial mag deviation Spatial sky 16325A emission deviations (filled: sky, open: star) Spatial sky continuum emission Spatial sky telluric CO2 absorption deviations (filled: H < 10)
0 0
RedGreenBlue
z17.64
znorm Inf
sky -Inf -Inf -Inf
S/N 32.5 53.5 59.3
S/N(c) 0.0 0.0 0.0
SN(E/C) 0.92

IPAIRNAMESHIFTNEWSHIFTS/N NAMESHIFTNEWSHIFTS/N
0 07520051 0.478175 0.00000 19.0143 07520049 0.00000 0.478175 19.0138
1 07520050 0.477895 0.000280023 19.0042 07520060 0.00585053 0.472324 19.0096
2 07520054 0.476764 0.00141102 18.9610 07520056 0.00125798 0.476917 19.0042
3 07520059 0.474283 0.00389200 18.9402 07520052 0.00237447 0.475801 18.9875
4 07520055 0.477298 0.000877023 18.9284 07520057 0.00375402 0.474421 18.9470
5 07520058 0.472672 0.00550303 18.9224 07520053 5.36896e-05 0.478121 18.9275