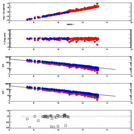
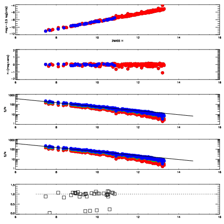
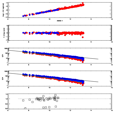
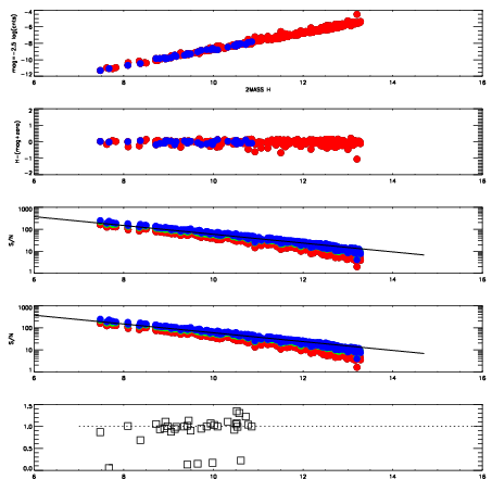
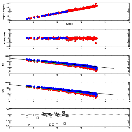
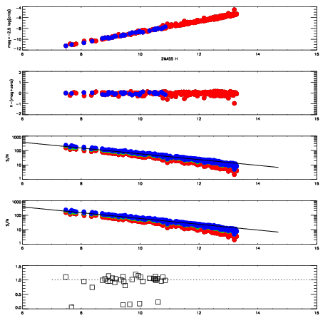
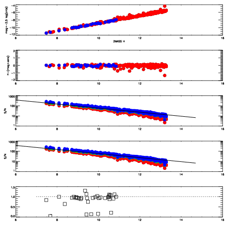
Frame | Nreads | Zeropoints | Mag plots
| Spatial mag deviation
| Spatial sky 16325A emission deviations (filled: sky, open: star)
| Spatial sky continuum emission
| Spatial sky telluric CO2 absorption deviations (filled: H < 10)
|
7280070
| 47
| | Red | Green | Blue
| z | | 18.95
| znorm | | 14.77
| sky | 15.2 | 14.7 | 14.5
| S/N | 14.0 | 23.5 | 25.4
| S/N(c) | 9.5 | 5.5 | 24.5
| SN(E/C) | 0.96
|
|
|
|
|
|
|
7280071
| 47
| | Red | Green | Blue
| z | | 18.77
| znorm | | 14.59
| sky | 15.0 | 14.7 | 14.8
| S/N | 12.4 | 21.5 | 23.4
| S/N(c) | 8.5 | 5.0 | 22.8
| SN(E/C) | 0.95
|
|
|
|
|
|
|
7280072
| 47
| | Red | Green | Blue
| z | | 18.90
| znorm | | 14.72
| sky | 15.5 | 14.8 | 14.9
| S/N | 13.8 | 23.1 | 25.0
| S/N(c) | 9.2 | 5.4 | 24.3
| SN(E/C) | 0.94
|
|
|
|
|
|
|
7280073
| 47
| | Red | Green | Blue
| z | | 18.78
| znorm | | 14.60
| sky | 15.1 | 14.8 | 14.9
| S/N | 12.5 | 21.9 | 23.2
| S/N(c) | 8.6 | 5.1 | 23.1
| SN(E/C) | 0.96
|
|
|
|
|
|
|
7280074
| 47
| | Red | Green | Blue
| z | | 18.76
| znorm | | 14.58
| sky | 15.1 | 14.7 | 14.9
| S/N | 12.4 | 21.5 | 23.2
| S/N(c) | 8.4 | 5.1 | 22.9
| SN(E/C) | 0.99
|
|
|
|
|
|
|
7280075
| 47
| | Red | Green | Blue
| z | | 18.63
| znorm | | 14.45
| sky | 14.8 | 14.9 | 14.9
| S/N | 11.4 | 19.8 | 21.3
| S/N(c) | 7.9 | 4.8 | 21.6
| SN(E/C) | 0.97
|
|
|
|
|
|
|
7280076
| 47
| | Red | Green | Blue
| z | | 18.69
| znorm | | 14.51
| sky | 14.9 | 14.7 | 14.9
| S/N | 11.5 | 20.5 | 21.7
| S/N(c) | 8.1 | 4.9 | 22.3
| SN(E/C) | 1.00
|
|
|
|
|
|
|
7280077
| 47
| | Red | Green | Blue
| z | | 18.50
| znorm | | 14.32
| sky | 15.1 | 14.8 | 15.0
| S/N | 10.0 | 18.0 | 19.5
| S/N(c) | 7.4 | 4.4 | 20.5
| SN(E/C) | 1.01
|
|
|
|
|
|
|