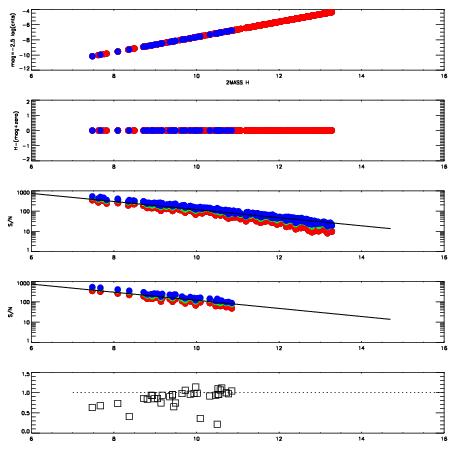
Left plots: red are targets, blue are telluric. Observed mags are calculated from median value of green chip. Zeropoint gives overall throughput: bigger number is more throughput.
First spatial plots: circles are objects, squares are tellurics, crosses are sky fibers. Colors give deviation of observed mag from expected 2MASS mag using the median zeropoint; red is brighter
Second spatial plots: circles are sky fibers. Colors give sky line brightness relative to plate median sky line brightness
FrameNreadsZeropointsMag plots Spatial mag deviation Spatial sky 16325A emission deviations (filled: sky, open: star) Spatial sky continuum emission Spatial sky telluric CO2 absorption deviations (filled: H < 10)
0 0
RedGreenBlue
z17.64
znorm Inf
sky -NaN -Inf -Inf
S/N 26.5 44.9 47.5
S/N(c) 0.0 0.0 0.0
SN(E/C) 0.93

IPAIRNAMESHIFTNEWSHIFTS/N NAMESHIFTNEWSHIFTS/N
0 07530056 0.477538 0.00000 18.9949 07530054 0.000508679 0.477029 18.9986
1 07530051 0.475364 0.00217399 19.0763 07530050 0.00000 0.477538 19.0625
2 07530052 0.476183 0.00135499 19.0645 07530053 0.00292355 0.474614 19.0393
3 07530055 0.476915 0.000622988 18.9693 07530057 0.00311976 0.474418 18.9742