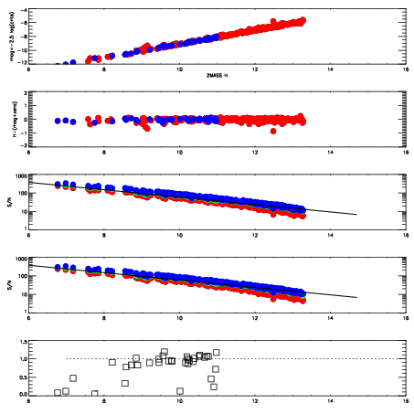
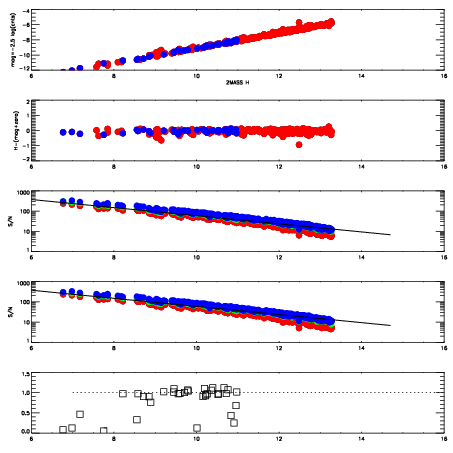
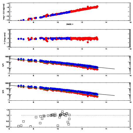
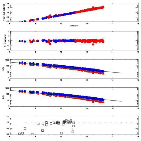
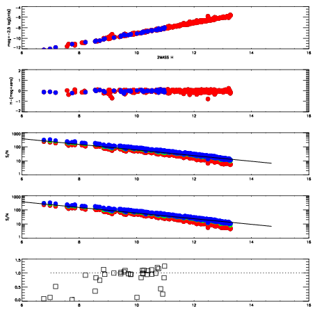
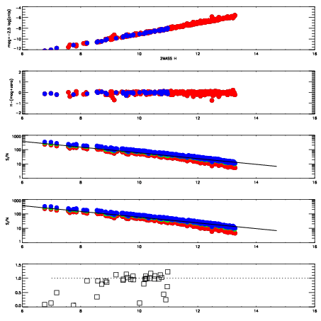
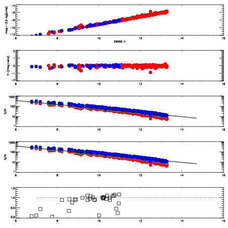
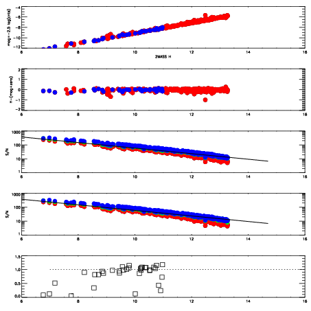
Frame | Nreads | Zeropoints | Mag plots
| Spatial mag deviation
| Spatial sky 16325A emission deviations (filled: sky, open: star)
| Spatial sky continuum emission
| Spatial sky telluric CO2 absorption deviations (filled: H < 10)
|
6650070
| 47
| | Red | Green | Blue
| z | | 19.14
| znorm | | 14.96
| sky | 15.0 | 14.5 | 14.4
| S/N | 15.6 | 25.3 | 26.7
| S/N(c) | 14.8 | 5.3 | 36.8
| SN(E/C) | 0.96
|
|
|
|
|
|
|
6650071
| 47
| | Red | Green | Blue
| z | | 19.13
| znorm | | 14.95
| sky | 14.9 | 14.7 | 14.7
| S/N | 15.4 | 25.4 | 26.9
| S/N(c) | 14.6 | 5.2 | 37.5
| SN(E/C) | 0.97
|
|
|
|
|
|
|
6650072
| 47
| | Red | Green | Blue
| z | | 19.14
| znorm | | 14.96
| sky | 15.0 | 14.6 | 14.8
| S/N | 15.7 | 25.4 | 27.1
| S/N(c) | 14.8 | 5.2 | 38.0
| SN(E/C) | 0.92
|
|
|
|
|
|
|
6650073
| 47
| | Red | Green | Blue
| z | | 19.14
| znorm | | 14.96
| sky | 15.1 | 14.7 | 14.8
| S/N | 16.1 | 25.9 | 27.3
| S/N(c) | 14.8 | 5.2 | 37.8
| SN(E/C) | 0.92
|
|
|
|
|
|
|
6650074
| 47
| | Red | Green | Blue
| z | | 19.11
| znorm | | 14.93
| sky | 15.5 | 14.7 | 14.7
| S/N | 15.9 | 25.4 | 26.7
| S/N(c) | 14.4 | 5.1 | 37.2
| SN(E/C) | 0.97
|
|
|
|
|
|
|
6650075
| 47
| | Red | Green | Blue
| z | | 19.08
| znorm | | 14.90
| sky | 15.0 | 14.8 | 14.8
| S/N | 15.4 | 25.1 | 26.4
| S/N(c) | 14.3 | 5.1 | 37.0
| SN(E/C) | 0.96
|
|
|
|
|
|
|
6650076
| 47
| | Red | Green | Blue
| z | | 19.16
| znorm | | 14.97
| sky | 14.9 | 14.7 | 14.8
| S/N | 16.4 | 26.4 | 28.0
| S/N(c) | 14.9 | 5.3 | 38.2
| SN(E/C) | 0.93
|
|
|
|
|
|
|
6650077
| 47
| | Red | Green | Blue
| z | | 19.08
| znorm | | 14.90
| sky | 15.2 | 14.8 | 14.8
| S/N | 15.7 | 25.5 | 27.1
| S/N(c) | 14.3 | 5.0 | 36.6
| SN(E/C) | 0.96
|
|
|
|
|
|
|