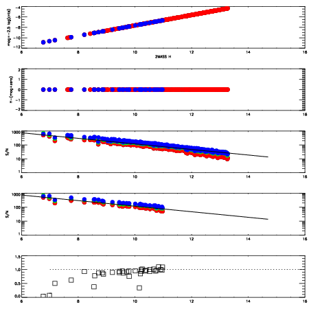
Left plots: red are targets, blue are telluric. Observed mags are calculated from median value of green chip. Zeropoint gives overall throughput: bigger number is more throughput.
First spatial plots: circles are objects, squares are tellurics, crosses are sky fibers. Colors give deviation of observed mag from expected 2MASS mag using the median zeropoint; red is brighter
Second spatial plots: circles are sky fibers. Colors give sky line brightness relative to plate median sky line brightness
FrameNreadsZeropointsMag plots Spatial mag deviation Spatial sky 16325A emission deviations (filled: sky, open: star) Spatial sky continuum emission Spatial sky telluric CO2 absorption deviations (filled: H < 10)
0 0
RedGreenBlue
z17.64
znorm Inf
sky -Inf -Inf -Inf
S/N 28.0 48.2 52.2
S/N(c) 0.0 0.0 0.0
SN(E/C) 0.93

IPAIRNAMESHIFTNEWSHIFTS/N NAMESHIFTNEWSHIFTS/N
0 06410081 0.475476 0.00000 19.1322 06410083 -0.00105759 0.476534 19.1689
1 06410085 0.473790 0.00168601 19.1407 06410086 0.00204009 0.473436 19.1915
2 06410080 0.475199 0.000276983 19.1272 06410082 0.00152812 0.473948 19.1269
3 06410084 0.473518 0.00195798 19.1135 06410079 0.00000 0.475476 19.1069