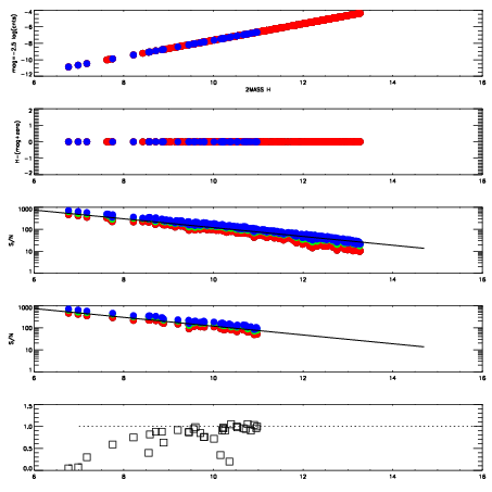
Left plots: red are targets, blue are telluric. Observed mags are calculated from median value of green chip. Zeropoint gives overall throughput: bigger number is more throughput.
First spatial plots: circles are objects, squares are tellurics, crosses are sky fibers. Colors give deviation of observed mag from expected 2MASS mag using the median zeropoint; red is brighter
Second spatial plots: circles are sky fibers. Colors give sky line brightness relative to plate median sky line brightness
FrameNreadsZeropointsMag plots Spatial mag deviation Spatial sky 16325A emission deviations (filled: sky, open: star) Spatial sky continuum emission Spatial sky telluric CO2 absorption deviations (filled: H < 10)
0 0
RedGreenBlue
z17.64
znorm Inf
sky -NaN -Inf -Inf
S/N 27.2 47.6 50.3
S/N(c) 0.0 0.0 0.0
SN(E/C) 0.88

IPAIRNAMESHIFTNEWSHIFTS/N NAMESHIFTNEWSHIFTS/N
0 06640071 0.482974 0.00000 19.1109 06640072 -0.000844777 0.483819 19.1251
1 06640070 0.482684 0.000290006 19.0984 06640073 -0.00156502 0.484539 19.1208
2 06640074 0.482082 0.000891984 19.0946 06640069 0.00000 0.482974 19.1005
3 06640075 0.482379 0.000595003 19.0874 06640076 0.00122868 0.481745 19.0951