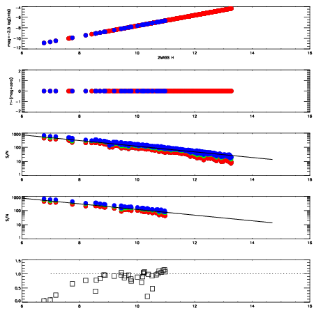
Left plots: red are targets, blue are telluric. Observed mags are calculated from median value of green chip. Zeropoint gives overall throughput: bigger number is more throughput.
First spatial plots: circles are objects, squares are tellurics, crosses are sky fibers. Colors give deviation of observed mag from expected 2MASS mag using the median zeropoint; red is brighter
Second spatial plots: circles are sky fibers. Colors give sky line brightness relative to plate median sky line brightness
FrameNreadsZeropointsMag plots Spatial mag deviation Spatial sky 16325A emission deviations (filled: sky, open: star) Spatial sky continuum emission Spatial sky telluric CO2 absorption deviations (filled: H < 10)
0 0
RedGreenBlue
z17.64
znorm Inf
sky -Inf -NaN -Inf
S/N 27.3 47.8 49.7
S/N(c) 0.0 0.0 0.0
SN(E/C) 0.93

IPAIRNAMESHIFTNEWSHIFTS/N NAMESHIFTNEWSHIFTS/N
0 06680066 0.483663 0.00000 18.9935 06680069 0.000599368 0.483064 19.0332
1 06680070 0.482900 0.000762999 19.0359 06680072 -0.000125735 0.483789 19.0653
2 06680071 0.483202 0.000460982 18.9817 06680065 0.00000 0.483663 18.9774
3 06680067 0.483608 5.49853e-05 18.9427 06680068 0.00247733 0.481186 18.9550