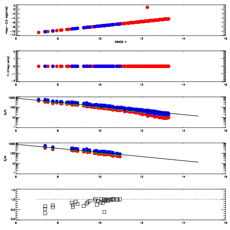
Left plots: red are targets, blue are telluric. Observed mags are calculated from median value of green chip. Zeropoint gives overall throughput: bigger number is more throughput.
First spatial plots: circles are objects, squares are tellurics, crosses are sky fibers. Colors give deviation of observed mag from expected 2MASS mag using the median zeropoint; red is brighter
Second spatial plots: circles are sky fibers. Colors give sky line brightness relative to plate median sky line brightness
FrameNreadsZeropointsMag plots Spatial mag deviation Spatial sky 16325A emission deviations (filled: sky, open: star) Spatial sky continuum emission Spatial sky telluric CO2 absorption deviations (filled: H < 10)
0 0
RedGreenBlue
z17.64
znorm Inf
sky -Inf -Inf -Inf
S/N 24.7 42.1 44.1
S/N(c) 0.0 0.0 0.0
SN(E/C) 0.92

IPAIRNAMESHIFTNEWSHIFTS/N NAMESHIFTNEWSHIFTS/N
0 07030066 0.474862 0.00000 18.9178 07030067 0.00206222 0.472800 18.8913
1 07030062 0.472817 0.00204501 19.0753 07030064 0.00286767 0.471994 19.0454
2 07030061 0.473005 0.00185701 19.0595 07030063 0.000874887 0.473987 18.9984
3 07030065 0.473692 0.00117001 19.0035 07030060 0.00000 0.474862 18.9735