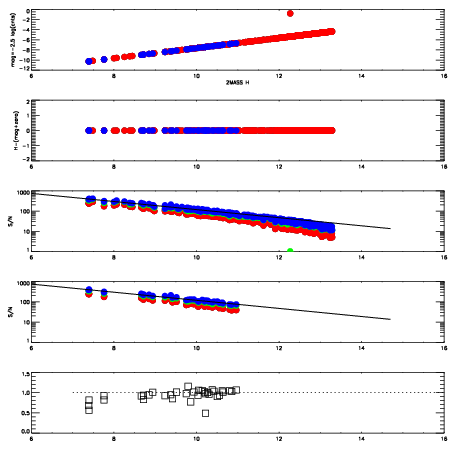
Left plots: red are targets, blue are telluric. Observed mags are calculated from median value of green chip. Zeropoint gives overall throughput: bigger number is more throughput.
First spatial plots: circles are objects, squares are tellurics, crosses are sky fibers. Colors give deviation of observed mag from expected 2MASS mag using the median zeropoint; red is brighter
Second spatial plots: circles are sky fibers. Colors give sky line brightness relative to plate median sky line brightness
FrameNreadsZeropointsMag plots Spatial mag deviation Spatial sky 16325A emission deviations (filled: sky, open: star) Spatial sky continuum emission Spatial sky telluric CO2 absorption deviations (filled: H < 10)
0 0
RedGreenBlue
z17.64
znorm Inf
sky -Inf -Inf -Inf
S/N 17.9 33.2 34.8
S/N(c) 0.0 0.0 0.0
SN(E/C) 0.96

IPAIRNAMESHIFTNEWSHIFTS/N NAMESHIFTNEWSHIFTS/N
0 07040053 0.473120 0.00000 18.4106 07040052 0.00231906 0.470801 18.5398
1 07040050 0.472472 0.000647992 18.6412 07040048 0.00000 0.473120 18.8121
2 07040049 0.471278 0.00184199 18.5202 07040051 0.00283829 0.470282 18.7220
3 07040054 0.473020 0.000100017 18.2123 07040055 0.00621988 0.466900 18.2601