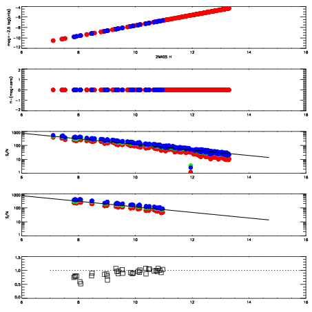
Left plots: red are targets, blue are telluric. Observed mags are calculated from median value of green chip. Zeropoint gives overall throughput: bigger number is more throughput.
First spatial plots: circles are objects, squares are tellurics, crosses are sky fibers. Colors give deviation of observed mag from expected 2MASS mag using the median zeropoint; red is brighter
Second spatial plots: circles are sky fibers. Colors give sky line brightness relative to plate median sky line brightness
FrameNreadsZeropointsMag plots Spatial mag deviation Spatial sky 16325A emission deviations (filled: sky, open: star) Spatial sky continuum emission Spatial sky telluric CO2 absorption deviations (filled: H < 10)
0 0
RedGreenBlue
z17.64
znorm Inf
sky -Inf -Inf -Inf
S/N 25.3 43.2 47.1
S/N(c) 0.0 0.0 0.0
SN(E/C) 0.92

IPAIRNAMESHIFTNEWSHIFTS/N NAMESHIFTNEWSHIFTS/N
0 06400087 0.487324 0.00000 19.1299 06400089 -0.000237760 0.487562 19.1156
1 06400088 0.487304 1.99974e-05 19.0654 06400090 -0.000220329 0.487544 19.0911
2 06400091 0.486107 0.00121701 19.0100 06400093 0.00354152 0.483782 18.9966
3 06400092 0.486497 0.000826985 18.9589 06400086 0.00000 0.487324 18.9036