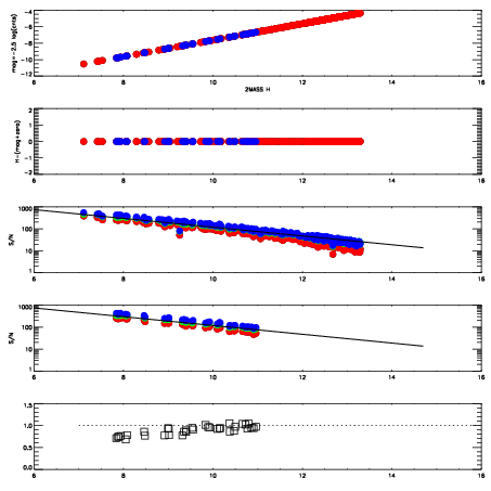
Left plots: red are targets, blue are telluric. Observed mags are calculated from median value of green chip. Zeropoint gives overall throughput: bigger number is more throughput.
First spatial plots: circles are objects, squares are tellurics, crosses are sky fibers. Colors give deviation of observed mag from expected 2MASS mag using the median zeropoint; red is brighter
Second spatial plots: circles are sky fibers. Colors give sky line brightness relative to plate median sky line brightness
FrameNreadsZeropointsMag plots Spatial mag deviation Spatial sky 16325A emission deviations (filled: sky, open: star) Spatial sky continuum emission Spatial sky telluric CO2 absorption deviations (filled: H < 10)
0 0
RedGreenBlue
z17.64
znorm Inf
sky -Inf -Inf -Inf
S/N 25.8 42.2 44.6
S/N(c) 0.0 0.0 0.0
SN(E/C) 0.92

IPAIRNAMESHIFTNEWSHIFTS/N NAMESHIFTNEWSHIFTS/N
0 06460028 0.471215 0.00000 19.1501 06460029 0.000990504 0.470224 19.2220
1 06460027 0.470585 0.000630021 18.9681 06460025 0.00189205 0.469323 19.0283
2 06460023 0.470170 0.00104502 18.8710 06460026 0.000720573 0.470494 18.9447
3 06460024 0.470659 0.000556022 18.8534 06460022 0.00000 0.471215 18.7494