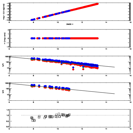
Left plots: red are targets, blue are telluric. Observed mags are calculated from median value of green chip. Zeropoint gives overall throughput: bigger number is more throughput.
First spatial plots: circles are objects, squares are tellurics, crosses are sky fibers. Colors give deviation of observed mag from expected 2MASS mag using the median zeropoint; red is brighter
Second spatial plots: circles are sky fibers. Colors give sky line brightness relative to plate median sky line brightness
FrameNreadsZeropointsMag plots Spatial mag deviation Spatial sky 16325A emission deviations (filled: sky, open: star) Spatial sky continuum emission Spatial sky telluric CO2 absorption deviations (filled: H < 10)
0 0
RedGreenBlue
z17.64
znorm Inf
sky -Inf -Inf -Inf
S/N 26.8 44.7 48.2
S/N(c) 0.0 0.0 0.0
SN(E/C) 0.90

IPAIRNAMESHIFTNEWSHIFTS/N NAMESHIFTNEWSHIFTS/N
0 06410096 0.472371 0.00000 19.0902 06410097 -0.00388720 0.476258 19.0619
1 06410091 0.470490 0.00188100 19.1220 06410090 0.00000 0.472371 19.1260
2 06410092 0.470808 0.00156301 19.0842 06410093 0.00212852 0.470243 19.0235
3 06410095 0.471970 0.000401020 19.0291 06410094 0.00294641 0.469425 18.9048