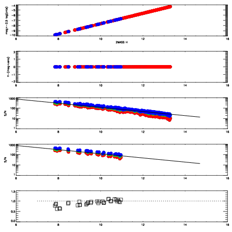
Left plots: red are targets, blue are telluric. Observed mags are calculated from median value of green chip. Zeropoint gives overall throughput: bigger number is more throughput.
First spatial plots: circles are objects, squares are tellurics, crosses are sky fibers. Colors give deviation of observed mag from expected 2MASS mag using the median zeropoint; red is brighter
Second spatial plots: circles are sky fibers. Colors give sky line brightness relative to plate median sky line brightness
FrameNreadsZeropointsMag plots Spatial mag deviation Spatial sky 16325A emission deviations (filled: sky, open: star) Spatial sky continuum emission Spatial sky telluric CO2 absorption deviations (filled: H < 10)
0 0
RedGreenBlue
z17.64
znorm Inf
sky -Inf -Inf -Inf
S/N 27.3 43.5 50.1
S/N(c) 0.0 0.0 0.0
SN(E/C) 0.93

IPAIRNAMESHIFTNEWSHIFTS/N NAMESHIFTNEWSHIFTS/N
0 06640086 0.485470 0.00000 19.0543 06640084 -0.000270306 0.485740 19.0633
1 06640085 0.485194 0.000275999 19.0732 06640087 0.00117094 0.484299 19.0665
2 06640081 0.484204 0.00126600 18.9911 06640080 0.00000 0.485470 19.0370
3 06640082 0.484640 0.000829995 18.9737 06640083 0.00278980 0.482680 19.0047