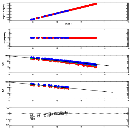
Left plots: red are targets, blue are telluric. Observed mags are calculated from median value of green chip. Zeropoint gives overall throughput: bigger number is more throughput.
First spatial plots: circles are objects, squares are tellurics, crosses are sky fibers. Colors give deviation of observed mag from expected 2MASS mag using the median zeropoint; red is brighter
Second spatial plots: circles are sky fibers. Colors give sky line brightness relative to plate median sky line brightness
FrameNreadsZeropointsMag plots Spatial mag deviation Spatial sky 16325A emission deviations (filled: sky, open: star) Spatial sky continuum emission Spatial sky telluric CO2 absorption deviations (filled: H < 10)
0 0
RedGreenBlue
z17.64
znorm Inf
sky -NaN -Inf -Inf
S/N 27.1 43.8 50.8
S/N(c) 0.0 0.0 0.0
SN(E/C) 0.95

IPAIRNAMESHIFTNEWSHIFTS/N NAMESHIFTNEWSHIFTS/N
0 06680082 0.485918 0.00000 19.0423 06680079 0.000635356 0.485283 19.0392
1 06680081 0.485455 0.000462979 19.1050 06680083 0.00165344 0.484265 19.0911
2 06680077 0.485776 0.000141978 19.1030 06680080 -0.00134107 0.487259 19.0771
3 06680078 0.485890 2.79844e-05 19.0553 06680076 0.00000 0.485918 19.0666