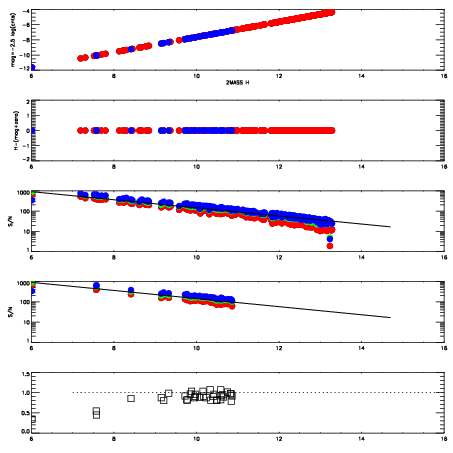
Left plots: red are targets, blue are telluric. Observed mags are calculated from median value of green chip. Zeropoint gives overall throughput: bigger number is more throughput.
First spatial plots: circles are objects, squares are tellurics, crosses are sky fibers. Colors give deviation of observed mag from expected 2MASS mag using the median zeropoint; red is brighter
Second spatial plots: circles are sky fibers. Colors give sky line brightness relative to plate median sky line brightness
FrameNreadsZeropointsMag plots Spatial mag deviation Spatial sky 16325A emission deviations (filled: sky, open: star) Spatial sky continuum emission Spatial sky telluric CO2 absorption deviations (filled: H < 10)
0 0
RedGreenBlue
z17.64
znorm Inf
sky -NaN -NaN -Inf
S/N 34.4 59.6 64.5
S/N(c) 0.0 0.0 0.0
SN(E/C) 0.90

IPAIRNAMESHIFTNEWSHIFTS/N NAMESHIFTNEWSHIFTS/N
0 07500074 0.484114 0.00000 19.0608 07500068 -0.000277512 0.484392 19.0332
1 07500070 0.480122 0.00399199 19.0907 07500071 0.00286676 0.481247 19.0681
2 07500069 0.477194 0.00691998 19.0878 07500072 0.00445259 0.479661 19.0676
3 07500073 0.483032 0.00108200 19.0647 07500075 0.00467932 0.479435 19.0591
4 07500066 0.478603 0.00551099 19.0565 07500067 0.000903197 0.483211 19.0279
5 07500065 0.478692 0.00542200 18.9994 07500064 0.00000 0.484114 18.8049