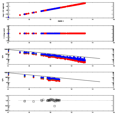
Left plots: red are targets, blue are telluric. Observed mags are calculated from median value of green chip. Zeropoint gives overall throughput: bigger number is more throughput.
First spatial plots: circles are objects, squares are tellurics, crosses are sky fibers. Colors give deviation of observed mag from expected 2MASS mag using the median zeropoint; red is brighter
Second spatial plots: circles are sky fibers. Colors give sky line brightness relative to plate median sky line brightness
FrameNreadsZeropointsMag plots Spatial mag deviation Spatial sky 16325A emission deviations (filled: sky, open: star) Spatial sky continuum emission Spatial sky telluric CO2 absorption deviations (filled: H < 10)
0 0
RedGreenBlue
z17.65
znorm Inf
sky -Inf -Inf -Inf
S/N 8.1 16.3 16.5
S/N(c) 0.0 0.0 0.0
SN(E/C) 1.04

IPAIRNAMESHIFTNEWSHIFTS/N NAMESHIFTNEWSHIFTS/N
0 07880032 0.473025 0.00000 16.9841 07880033 0.00235404 0.470671 17.0158
1 07880027 0.469586 0.00343898 17.6739 07880026 0.00000 0.473025 17.9378
2 07880028 0.470570 0.00245500 17.2523 07880030 -0.00107797 0.474103 17.4498
3 07880031 0.472223 0.000801980 16.9445 07880029 -0.000317277 0.473342 16.9669