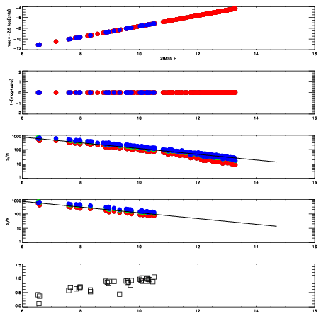
Left plots: red are targets, blue are telluric. Observed mags are calculated from median value of green chip. Zeropoint gives overall throughput: bigger number is more throughput.
First spatial plots: circles are objects, squares are tellurics, crosses are sky fibers. Colors give deviation of observed mag from expected 2MASS mag using the median zeropoint; red is brighter
Second spatial plots: circles are sky fibers. Colors give sky line brightness relative to plate median sky line brightness
FrameNreadsZeropointsMag plots Spatial mag deviation Spatial sky 16325A emission deviations (filled: sky, open: star) Spatial sky continuum emission Spatial sky telluric CO2 absorption deviations (filled: H < 10)
0 0
RedGreenBlue
z17.64
znorm Inf
sky -Inf -Inf -Inf
S/N 28.3 47.5 50.1
S/N(c) 0.0 0.0 0.0
SN(E/C) 0.87

IPAIRNAMESHIFTNEWSHIFTS/N NAMESHIFTNEWSHIFTS/N
0 06940093 0.501319 0.00000 19.1290 06940090 0.00417998 0.497139 19.1053
1 06940092 0.501153 0.000165999 19.1122 06940094 0.00547546 0.495844 19.1047
2 06940089 0.498530 0.00278899 19.0963 06940091 0.00351039 0.497809 19.0930
3 06940088 0.498151 0.00316799 19.0682 06940087 0.00000 0.501319 19.0594