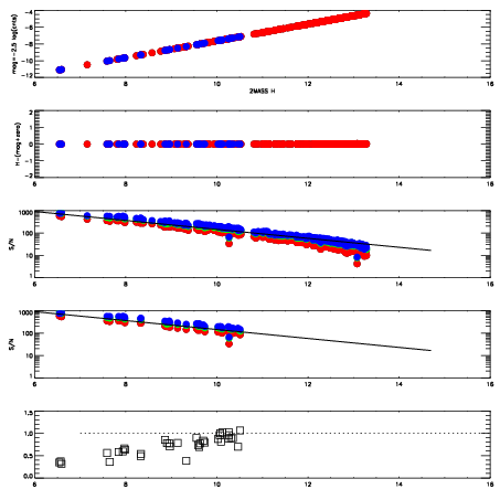
Left plots: red are targets, blue are telluric. Observed mags are calculated from median value of green chip. Zeropoint gives overall throughput: bigger number is more throughput.
First spatial plots: circles are objects, squares are tellurics, crosses are sky fibers. Colors give deviation of observed mag from expected 2MASS mag using the median zeropoint; red is brighter
Second spatial plots: circles are sky fibers. Colors give sky line brightness relative to plate median sky line brightness
FrameNreadsZeropointsMag plots Spatial mag deviation Spatial sky 16325A emission deviations (filled: sky, open: star) Spatial sky continuum emission Spatial sky telluric CO2 absorption deviations (filled: H < 10)
0 0
RedGreenBlue
z17.64
znorm Inf
sky -Inf -Inf -Inf
S/N 33.2 53.9 60.7
S/N(c) 0.0 0.0 0.0
SN(E/C) 0.77

IPAIRNAMESHIFTNEWSHIFTS/N NAMESHIFTNEWSHIFTS/N
0 07000089 0.481740 0.00000 19.1541 07000094 -0.00103717 0.482777 19.1501
1 07000093 0.479700 0.00204000 19.1304 07000090 -0.00179539 0.483535 19.1331
2 07000085 0.481402 0.000337988 19.1280 07000083 0.00000 0.481740 19.0527
3 07000092 0.478241 0.00349900 19.0741 07000086 0.000474382 0.481266 19.0328
4 07000088 0.481240 0.000499994 19.0675 07000091 -0.00459094 0.486331 19.0165
5 07000084 0.480999 0.000741005 19.0449 07000087 -0.00115645 0.482896 18.9546