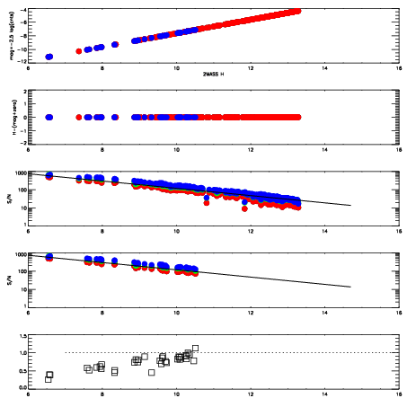
Left plots: red are targets, blue are telluric. Observed mags are calculated from median value of green chip. Zeropoint gives overall throughput: bigger number is more throughput.
First spatial plots: circles are objects, squares are tellurics, crosses are sky fibers. Colors give deviation of observed mag from expected 2MASS mag using the median zeropoint; red is brighter
Second spatial plots: circles are sky fibers. Colors give sky line brightness relative to plate median sky line brightness
FrameNreadsZeropointsMag plots Spatial mag deviation Spatial sky 16325A emission deviations (filled: sky, open: star) Spatial sky continuum emission Spatial sky telluric CO2 absorption deviations (filled: H < 10)
0 0
RedGreenBlue
z17.64
znorm Inf
sky -Inf -Inf -NaN
S/N 28.5 47.3 51.4
S/N(c) 0.0 0.0 0.0
SN(E/C) 0.78

IPAIRNAMESHIFTNEWSHIFTS/N NAMESHIFTNEWSHIFTS/N
0 06760042 0.491998 0.00000 19.2153 06760039 0.00389388 0.488104 19.2003
1 06760041 0.491798 0.000199974 19.2182 06760043 0.00243501 0.489563 19.2093
2 06760037 0.489332 0.00266600 19.1911 06760036 0.00000 0.491998 19.1917
3 06760038 0.489588 0.00240999 19.1766 06760040 0.00285046 0.489148 19.1802