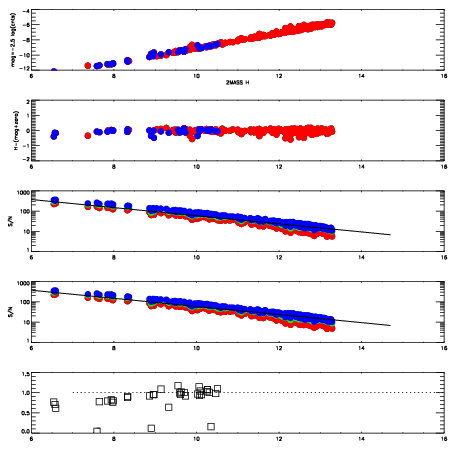
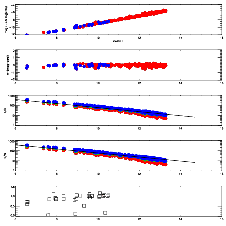
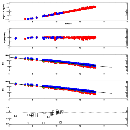
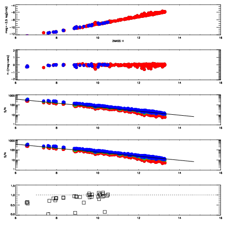
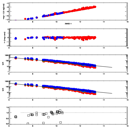
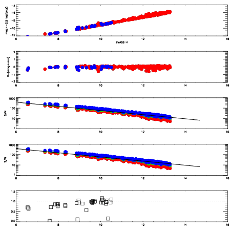
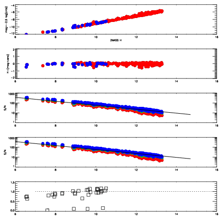
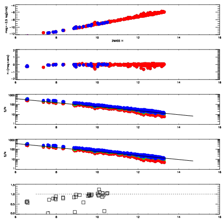
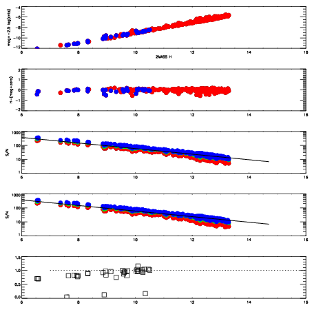
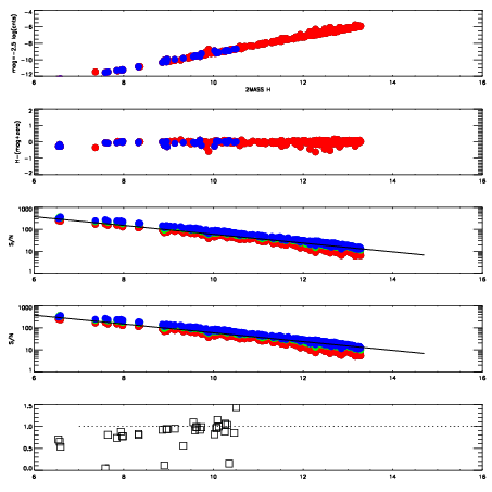
Frame | Nreads | Zeropoints | Mag plots
| Spatial mag deviation
| Spatial sky 16325A emission deviations (filled: sky, open: star)
| Spatial sky continuum emission
| Spatial sky telluric CO2 absorption deviations (filled: H < 10)
|
6950082
| 47
| | Red | Green | Blue
| z | | 19.00
| znorm | | 14.82
| sky | 15.3 | 14.3 | 14.2
| S/N | 14.7 | 23.5 | 24.8
| S/N(c) | 4.1 | 19.0 | 21.6
| SN(E/C) | 0.99
|
|
|
|
|
|
|
6950083
| 47
| | Red | Green | Blue
| z | | 19.04
| znorm | | 14.86
| sky | 14.8 | 14.4 | 14.6
| S/N | 15.0 | 24.3 | 25.4
| S/N(c) | 4.2 | 19.6 | 22.3
| SN(E/C) | 0.92
|
|
|
|
|
|
|
6950084
| 47
| | Red | Green | Blue
| z | | 19.07
| znorm | | 14.89
| sky | 14.6 | 14.5 | 14.6
| S/N | 15.1 | 24.8 | 25.8
| S/N(c) | 4.3 | 20.0 | 22.6
| SN(E/C) | 0.93
|
|
|
|
|
|
|
6950085
| 47
| | Red | Green | Blue
| z | | 19.12
| znorm | | 14.93
| sky | 14.9 | 14.4 | 14.7
| S/N | 15.9 | 25.1 | 26.7
| S/N(c) | 4.4 | 20.5 | 23.3
| SN(E/C) | 0.94
|
|
|
|
|
|
|
6950086
| 47
| | Red | Green | Blue
| z | | 19.15
| znorm | | 14.97
| sky | 14.8 | 14.5 | 14.6
| S/N | 16.1 | 26.3 | 27.2
| S/N(c) | 4.4 | 20.7 | 23.7
| SN(E/C) | 0.88
|
|
|
|
|
|
|
6950087
| 47
| | Red | Green | Blue
| z | | 19.15
| znorm | | 14.97
| sky | 14.9 | 14.6 | 14.7
| S/N | 16.0 | 25.8 | 27.3
| S/N(c) | 4.4 | 20.8 | 23.7
| SN(E/C) | 0.90
|
|
|
|
|
|
|
6950088
| 47
| | Red | Green | Blue
| z | | 19.16
| znorm | | 14.98
| sky | 14.9 | 14.7 | 14.8
| S/N | 16.4 | 25.4 | 27.5
| S/N(c) | 4.5 | 20.7 | 24.1
| SN(E/C) | 0.91
|
|
|
|
|
|
|
6950089
| 47
| | Red | Green | Blue
| z | | 19.18
| znorm | | 15.00
| sky | 15.1 | 14.8 | 14.6
| S/N | 16.7 | 25.2 | 27.8
| S/N(c) | 4.5 | 20.7 | 24.2
| SN(E/C) | 0.89
|
|
|
|
|
|
|
6950090
| 47
| | Red | Green | Blue
| z | | 19.17
| znorm | | 14.99
| sky | 14.7 | 14.7 | 14.8
| S/N | 16.6 | 25.1 | 27.8
| S/N(c) | 4.5 | 20.8 | 23.9
| SN(E/C) | 0.90
|
|
|
|
|
|
|
6950091
| 47
| | Red | Green | Blue
| z | | 19.18
| znorm | | 15.00
| sky | 14.9 | 14.7 | 14.7
| S/N | 16.8 | 25.8 | 28.3
| S/N(c) | 4.5 | 21.1 | 24.2
| SN(E/C) | 0.90
|
|
|
|
|
|
|
6950092
| 47
| | Red | Green | Blue
| z | | 19.20
| znorm | | 15.01
| sky | 14.9 | 14.7 | 14.7
| S/N | 17.0 | 26.0 | 28.6
| S/N(c) | 4.6 | 21.2 | 24.3
| SN(E/C) | 0.91
|
|
|
|
|
|
|
6950093
| 47
| | Red | Green | Blue
| z | | 19.20
| znorm | | 15.02
| sky | 14.9 | 14.7 | 14.8
| S/N | 17.0 | 26.2 | 28.6
| S/N(c) | 4.6 | 21.3 | 24.4
| SN(E/C) | 0.91
|
|
|
|
|
|
|