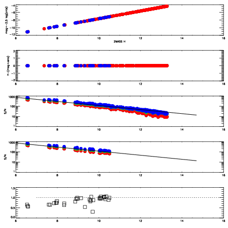
Left plots: red are targets, blue are telluric. Observed mags are calculated from median value of green chip. Zeropoint gives overall throughput: bigger number is more throughput.
First spatial plots: circles are objects, squares are tellurics, crosses are sky fibers. Colors give deviation of observed mag from expected 2MASS mag using the median zeropoint; red is brighter
Second spatial plots: circles are sky fibers. Colors give sky line brightness relative to plate median sky line brightness
FrameNreadsZeropointsMag plots Spatial mag deviation Spatial sky 16325A emission deviations (filled: sky, open: star) Spatial sky continuum emission Spatial sky telluric CO2 absorption deviations (filled: H < 10)
0 0
RedGreenBlue
z17.64
znorm Inf
sky -Inf -Inf -Inf
S/N 22.8 39.2 43.6
S/N(c) 0.0 0.0 0.0
SN(E/C) 0.89

IPAIRNAMESHIFTNEWSHIFTS/N NAMESHIFTNEWSHIFTS/N
0 07020065 0.478480 0.00000 18.9205 07020066 0.00365405 0.474826 18.9545
1 07020060 0.474084 0.00439602 18.9462 07020059 0.00000 0.478480 18.9686
2 07020061 0.475130 0.00335002 18.9147 07020062 0.00245805 0.476022 18.9077
3 07020064 0.477900 0.000580013 18.8714 07020063 0.00211588 0.476364 18.8494