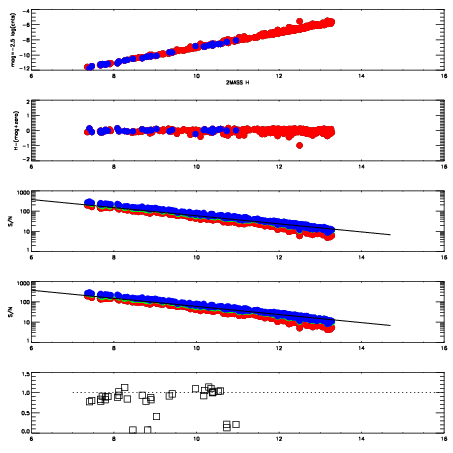
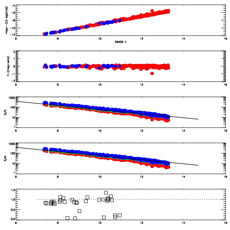
Left plots: red are targets, blue are telluric. Observed mags are calculated from median value of green chip. Zeropoint gives overall throughput: bigger number is more throughput.
First spatial plots: circles are objects, squares are tellurics, crosses are sky fibers. Colors give deviation of observed mag from expected 2MASS mag using the median zeropoint; red is brighter
Second spatial plots: circles are sky fibers. Colors give sky line brightness relative to plate median sky line brightness
FrameNreadsZeropointsMag plots Spatial mag deviation Spatial sky 16325A emission deviations (filled: sky, open: star) Spatial sky continuum emission Spatial sky telluric CO2 absorption deviations (filled: H < 10)
6430080 47
RedGreenBlue
z19.03
znorm14.85
sky 14.7 14.3 14.3
S/N 15.8 24.3 26.1
S/N(c) 17.6 29.1 47.5
SN(E/C) 0.90
6430081 47
RedGreenBlue
z19.00
znorm14.82
sky 14.5 14.4 14.6
S/N 15.0 23.9 25.9
S/N(c) 17.3 28.5 47.4
SN(E/C) 0.87