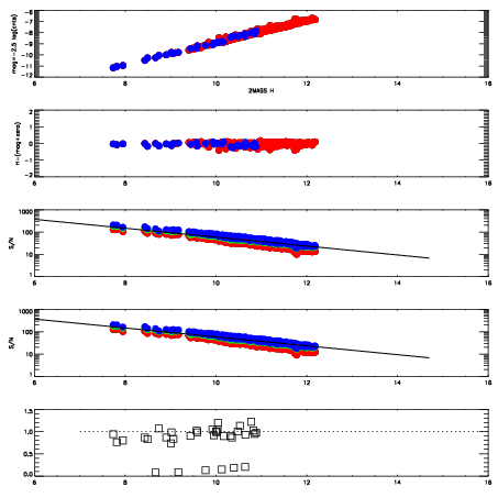
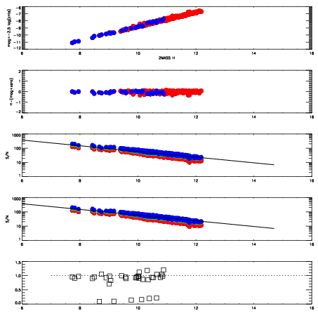
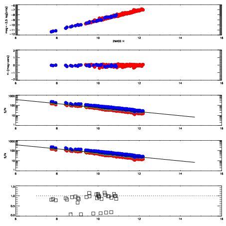
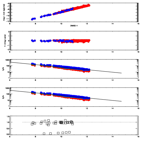
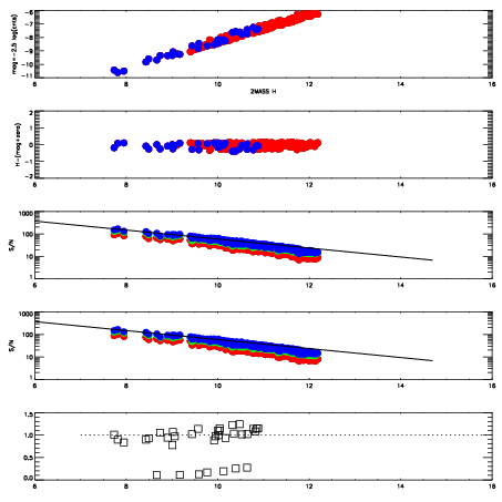
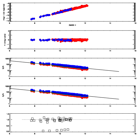
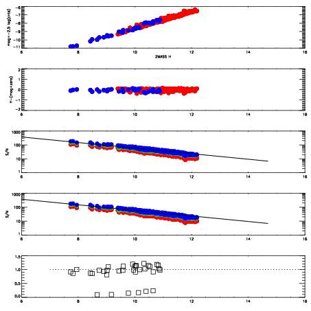
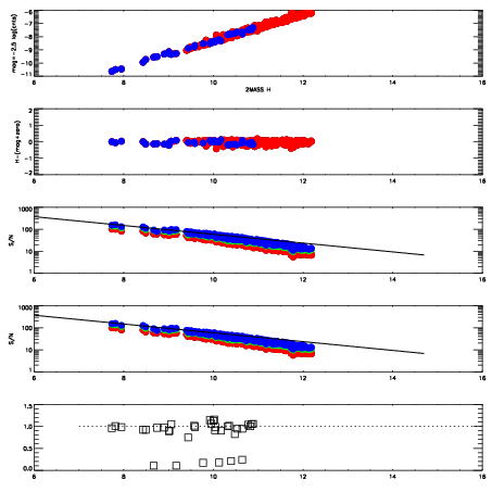
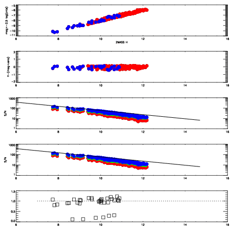
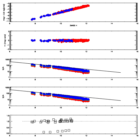
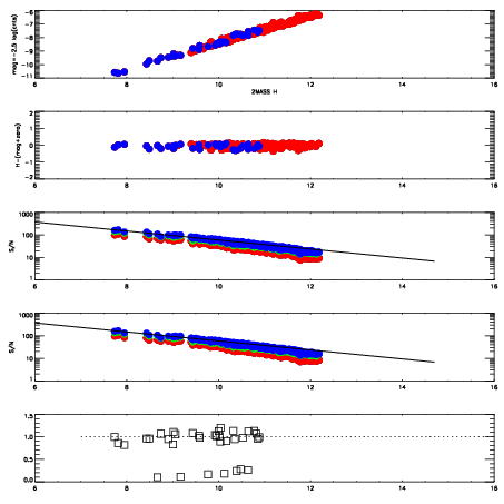
Frame | Nreads | Zeropoints | Mag plots
| Spatial mag deviation
| Spatial sky 16325A emission deviations (filled: sky, open: star)
| Spatial sky continuum emission
| Spatial sky telluric CO2 absorption deviations (filled: H < 10)
|
6320011
| 47
| | Red | Green | Blue
| z | | 18.37
| znorm | | 14.19
| sky | 12.2 | 12.2 | 12.4
| S/N | 7.6 | 11.9 | 14.0
| S/N(c) | 0.1 | 15.4 | 13.7
| SN(E/C) | 0.97
|
|
|
|
|
|
|
6320012
| 47
| | Red | Green | Blue
| z | | 18.03
| znorm | | 13.85
| sky | 13.0 | 12.9 | 13.0
| S/N | 7.2 | 11.7 | 12.4
| S/N(c) | 0.0 | 13.5 | 11.6
| SN(E/C) | 1.00
|
|
|
|
|
|
|
6320013
| 47
| | Red | Green | Blue
| z | | 18.92
| znorm | | 14.74
| sky | 14.0 | 14.1 | 14.1
| S/N | 14.9 | 23.6 | 24.6
| S/N(c) | 0.1 | 24.3 | 20.7
| SN(E/C) | 0.94
|
|
|
|
|
|
|
6320014
| 47
| | Red | Green | Blue
| z | | 18.82
| znorm | | 14.64
| sky | 13.8 | 13.7 | 13.8
| S/N | 13.7 | 22.0 | 23.4
| S/N(c) | 0.1 | 22.7 | 19.4
| SN(E/C) | 0.93
|
|
|
|
|
|
|
6320015
| 47
| | Red | Green | Blue
| z | | 19.05
| znorm | | 14.87
| sky | 14.4 | 14.4 | 14.4
| S/N | 16.4 | 26.1 | 28.0
| S/N(c) | 0.1 | 26.1 | 22.4
| SN(E/C) | 0.96
|
|
|
|
|
|
|
6320016
| 47
| | Red | Green | Blue
| z | | 19.12
| znorm | | 14.94
| sky | 14.2 | 14.3 | 14.3
| S/N | 17.0 | 26.9 | 29.0
| S/N(c) | 0.1 | 26.8 | 23.2
| SN(E/C) | 0.90
|
|
|
|
|
|
|
6320017
| 47
| | Red | Green | Blue
| z | | 18.92
| znorm | | 14.74
| sky | 13.8 | 13.8 | 13.8
| S/N | 14.4 | 23.6 | 25.3
| S/N(c) | 0.1 | 23.9 | 20.7
| SN(E/C) | 0.91
|
|
|
|
|
|
|
6320018
| 47
| | Red | Green | Blue
| z | | 18.64
| znorm | | 14.46
| sky | 13.6 | 13.5 | 13.6
| S/N | 11.7 | 19.4 | 20.8
| S/N(c) | 0.1 | 20.1 | 17.6
| SN(E/C) | 0.97
|
|
|
|
|
|
|
6320019
| 47
| | Red | Green | Blue
| z | | 18.06
| znorm | | 13.88
| sky | 13.3 | 13.3 | 13.3
| S/N | 7.0 | 13.2 | 13.7
| S/N(c) | 0.0 | 14.0 | 12.5
| SN(E/C) | 1.00
|
|
|
|
|
|
|
6320020
| 47
| | Red | Green | Blue
| z | | 18.43
| znorm | | 14.25
| sky | 13.3 | 13.3 | 13.4
| S/N | 10.1 | 16.8 | 17.8
| S/N(c) | 0.1 | 17.7 | 15.5
| SN(E/C) | 0.97
|
|
|
|
|
|
|
6320021
| 47
| | Red | Green | Blue
| z | | 18.35
| znorm | | 14.17
| sky | 13.2 | 13.2 | 13.2
| S/N | 9.1 | 15.4 | 16.2
| S/N(c) | 0.1 | 16.5 | 14.6
| SN(E/C) | 1.00
|
|
|
|
|
|
|
6320022
| 47
| | Red | Green | Blue
| z | | 16.29
| znorm | | 12.11
| sky | 12.8 | 12.8 | 12.9
| S/N | 1.3 | 2.8 | 3.0
| S/N(c) | 0.0 | 3.5 | 3.5
| SN(E/C) | 1.01
|
|
|
|
|
|
|