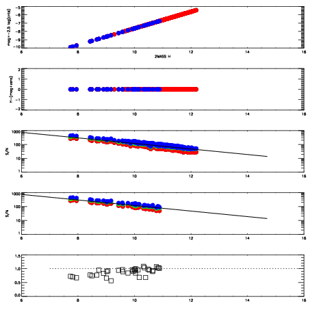
Left plots: red are targets, blue are telluric. Observed mags are calculated from median value of green chip. Zeropoint gives overall throughput: bigger number is more throughput.
First spatial plots: circles are objects, squares are tellurics, crosses are sky fibers. Colors give deviation of observed mag from expected 2MASS mag using the median zeropoint; red is brighter
Second spatial plots: circles are sky fibers. Colors give sky line brightness relative to plate median sky line brightness
FrameNreadsZeropointsMag plots Spatial mag deviation Spatial sky 16325A emission deviations (filled: sky, open: star) Spatial sky continuum emission Spatial sky telluric CO2 absorption deviations (filled: H < 10)
0 0
RedGreenBlue
z17.64
znorm Inf
sky -Inf -Inf -Inf
S/N 29.1 49.0 51.2
S/N(c) 0.0 0.0 0.0
SN(E/C) 0.92

IPAIRNAMESHIFTNEWSHIFTS/N NAMESHIFTNEWSHIFTS/N
0 06390013 0.483288 0.00000 19.0102 06390014 -0.000848439 0.484136 18.9879
1 06390012 0.483098 0.000189990 19.0452 06390018 0.000145782 0.483142 19.1228
2 06390017 0.480318 0.00296998 19.0113 06390015 4.64345e-05 0.483242 18.9929
3 06390016 0.480058 0.00322998 19.0025 06390011 0.00000 0.483288 18.9664