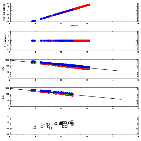
Left plots: red are targets, blue are telluric. Observed mags are calculated from median value of green chip. Zeropoint gives overall throughput: bigger number is more throughput.
First spatial plots: circles are objects, squares are tellurics, crosses are sky fibers. Colors give deviation of observed mag from expected 2MASS mag using the median zeropoint; red is brighter
Second spatial plots: circles are sky fibers. Colors give sky line brightness relative to plate median sky line brightness
FrameNreadsZeropointsMag plots Spatial mag deviation Spatial sky 16325A emission deviations (filled: sky, open: star) Spatial sky continuum emission Spatial sky telluric CO2 absorption deviations (filled: H < 10)
0 0
RedGreenBlue
z17.64
znorm Inf
sky -Inf -Inf -Inf
S/N 33.8 54.4 58.3
S/N(c) 0.0 0.0 0.0
SN(E/C) 0.87

IPAIRNAMESHIFTNEWSHIFTS/N NAMESHIFTNEWSHIFTS/N
0 06410016 0.479957 0.00000 19.2605 06410014 0.000274343 0.479683 19.2667
1 06410012 0.479440 0.000517011 19.2486 06410013 -0.000754047 0.480711 19.2572
2 06410015 0.479405 0.000552028 19.2421 06410017 0.00253783 0.477419 19.2501
3 06410011 0.478960 0.000997007 19.2328 06410010 0.00000 0.479957 19.2242