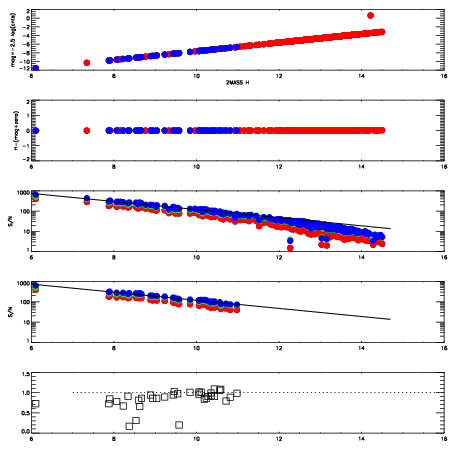
Left plots: red are targets, blue are telluric. Observed mags are calculated from median value of green chip. Zeropoint gives overall throughput: bigger number is more throughput.
First spatial plots: circles are objects, squares are tellurics, crosses are sky fibers. Colors give deviation of observed mag from expected 2MASS mag using the median zeropoint; red is brighter
Second spatial plots: circles are sky fibers. Colors give sky line brightness relative to plate median sky line brightness
FrameNreadsZeropointsMag plots Spatial mag deviation Spatial sky 16325A emission deviations (filled: sky, open: star) Spatial sky continuum emission Spatial sky telluric CO2 absorption deviations (filled: H < 10)
0 0
RedGreenBlue
z17.64
znorm Inf
sky -Inf -Inf -Inf
S/N 18.2 31.7 36.0
S/N(c) 0.0 0.0 0.0
SN(E/C) 0.89

IPAIRNAMESHIFTNEWSHIFTS/N NAMESHIFTNEWSHIFTS/N
0 07220028 0.480421 0.00000 18.5233 07220022 0.00000 0.480421 18.4778
1 07220027 0.480307 0.000113994 18.6892 07220026 0.00347561 0.476945 18.5455
2 07220024 0.480062 0.000358999 18.6518 07220025 0.000739481 0.479682 18.5296
3 07220023 0.479378 0.00104299 18.3723 07220029 0.00395167 0.476469 18.4632