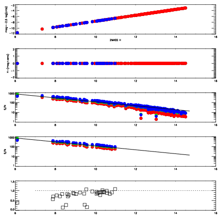
Left plots: red are targets, blue are telluric. Observed mags are calculated from median value of green chip. Zeropoint gives overall throughput: bigger number is more throughput.
First spatial plots: circles are objects, squares are tellurics, crosses are sky fibers. Colors give deviation of observed mag from expected 2MASS mag using the median zeropoint; red is brighter
Second spatial plots: circles are sky fibers. Colors give sky line brightness relative to plate median sky line brightness
FrameNreadsZeropointsMag plots Spatial mag deviation Spatial sky 16325A emission deviations (filled: sky, open: star) Spatial sky continuum emission Spatial sky telluric CO2 absorption deviations (filled: H < 10)
0 0
RedGreenBlue
z17.64
znorm Inf
sky -Inf -Inf -Inf
S/N 26.6 45.3 47.8
S/N(c) 0.0 0.0 0.0
SN(E/C) 0.85

IPAIRNAMESHIFTNEWSHIFTS/N NAMESHIFTNEWSHIFTS/N
0 10250061 0.492338 0.00000 18.8487 10250063 0.000134823 0.492203 18.9580
1 10250065 0.491322 0.00101599 19.0132 10250066 -0.000946872 0.493285 19.0088
2 10250064 0.491477 0.000860989 18.9901 10250062 0.000479000 0.491859 18.9601
3 10250060 0.492283 5.50151e-05 18.7998 10250059 0.00000 0.492338 18.8191