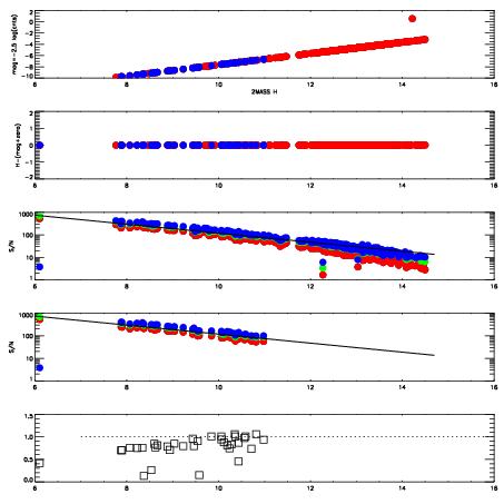
Left plots: red are targets, blue are telluric. Observed mags are calculated from median value of green chip. Zeropoint gives overall throughput: bigger number is more throughput.
First spatial plots: circles are objects, squares are tellurics, crosses are sky fibers. Colors give deviation of observed mag from expected 2MASS mag using the median zeropoint; red is brighter
Second spatial plots: circles are sky fibers. Colors give sky line brightness relative to plate median sky line brightness
FrameNreadsZeropointsMag plots Spatial mag deviation Spatial sky 16325A emission deviations (filled: sky, open: star) Spatial sky continuum emission Spatial sky telluric CO2 absorption deviations (filled: H < 10)
0 0
RedGreenBlue
z17.64
znorm Inf
sky -NaN -Inf -Inf
S/N 26.7 47.3 50.9
S/N(c) 0.0 0.0 0.0
SN(E/C) 0.81

IPAIRNAMESHIFTNEWSHIFTS/N NAMESHIFTNEWSHIFTS/N
0 07230028 0.484242 0.00000 18.9161 07230026 0.00000 0.484242 18.9851
1 07230032 0.483951 0.000290990 19.0407 07230030 0.00394180 0.480300 19.0557
2 07230031 0.483873 0.000368983 19.0215 07230029 0.00596324 0.478279 19.0363
3 07230027 0.483099 0.00114298 18.9707 07230033 0.00621852 0.478023 19.0157