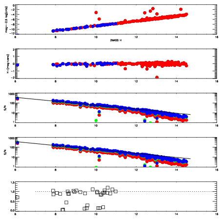
Frame | Nreads | Zeropoints | Mag plots
| Spatial mag deviation
| Spatial sky 16325A emission deviations (filled: sky, open: star)
| Spatial sky continuum emission
| Spatial sky telluric CO2 absorption deviations (filled: H < 10)
|
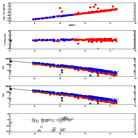
10800037
| 47
| | Red | Green | Blue
| z | | 18.88
| znorm | | 14.70
| sky | 14.6 | 14.2 | 14.3
| S/N | 15.4 | 25.1 | 26.2
| S/N(c) | 6.0 | 19.6 | 25.5
| SN(E/C) | 0.93
|
|
|
|
|
|
|
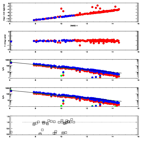
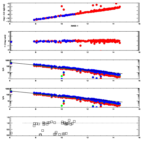
10800038
| 47
| | Red | Green | Blue
| z | | 18.85
| znorm | | 14.67
| sky | 14.7 | 14.6 | 14.8
| S/N | 14.6 | 24.4 | 25.6
| S/N(c) | 5.8 | 19.2 | 25.8
| SN(E/C) | 0.93
|
|
|
|
|
|
|
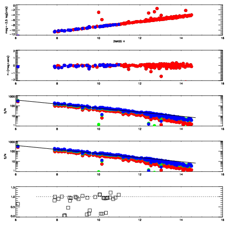
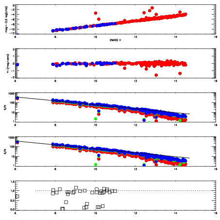
10800039
| 47
| | Red | Green | Blue
| z | | 18.72
| znorm | | 14.54
| sky | 14.9 | 14.6 | 14.7
| S/N | 13.3 | 22.8 | 23.9
| S/N(c) | 5.3 | 18.1 | 24.1
| SN(E/C) | 0.92
|
|
|
|
|
|
|
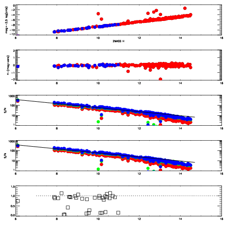
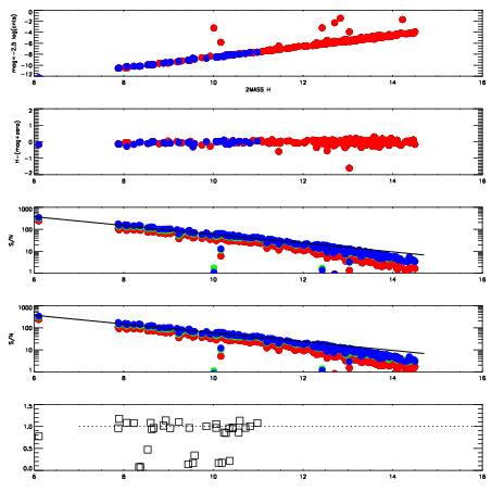
10800040
| 47
| | Red | Green | Blue
| z | | 18.76
| znorm | | 14.58
| sky | 14.9 | 14.6 | 14.8
| S/N | 14.1 | 23.2 | 24.1
| S/N(c) | 5.4 | 18.2 | 24.6
| SN(E/C) | 0.90
|
|
|
|
|
|
|
10800041
| 47
| | Red | Green | Blue
| z | | 18.56
| znorm | | 14.38
| sky | 14.8 | 14.7 | 14.9
| S/N | 11.8 | 20.5 | 21.2
| S/N(c) | 4.8 | 16.4 | 22.2
| SN(E/C) | 0.96
|
|
|
|
|
|
|
10800042
| 47
| | Red | Green | Blue
| z | | 18.66
| znorm | | 14.48
| sky | 15.0 | 14.7 | 14.9
| S/N | 13.0 | 21.8 | 22.6
| S/N(c) | 5.1 | 17.3 | 23.9
| SN(E/C) | 0.90
|
|
|
|
|
|
|
10800043
| 47
| | Red | Green | Blue
| z | | 18.63
| znorm | | 14.45
| sky | 14.9 | 14.7 | 14.9
| S/N | 12.9 | 21.7 | 22.5
| S/N(c) | 5.1 | 17.2 | 23.5
| SN(E/C) | 0.91
|
|
|
|
|
|
|
10800044
| 47
| | Red | Green | Blue
| z | | 18.66
| znorm | | 14.48
| sky | 14.8 | 14.7 | 15.0
| S/N | 13.0 | 22.2 | 23.1
| S/N(c) | 5.1 | 17.4 | 23.7
| SN(E/C) | 0.93
|
|
|
|
|
|
|