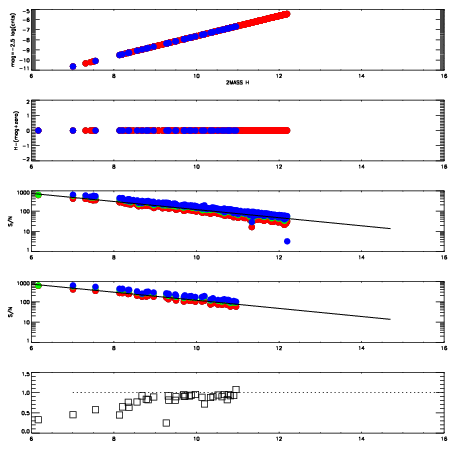
Left plots: red are targets, blue are telluric. Observed mags are calculated from median value of green chip. Zeropoint gives overall throughput: bigger number is more throughput.
First spatial plots: circles are objects, squares are tellurics, crosses are sky fibers. Colors give deviation of observed mag from expected 2MASS mag using the median zeropoint; red is brighter
Second spatial plots: circles are sky fibers. Colors give sky line brightness relative to plate median sky line brightness
FrameNreadsZeropointsMag plots Spatial mag deviation Spatial sky 16325A emission deviations (filled: sky, open: star) Spatial sky continuum emission Spatial sky telluric CO2 absorption deviations (filled: H < 10)
0 0
RedGreenBlue
z17.64
znorm Inf
sky -NaN -NaN -Inf
S/N 30.4 50.7 54.5
S/N(c) 0.0 0.0 0.0
SN(E/C) 0.89

IPAIRNAMESHIFTNEWSHIFTS/N NAMESHIFTNEWSHIFTS/N
0 06310013 0.477827 0.00000 19.1792 06310011 0.00000 0.477827 19.1578
1 06310017 0.477723 0.000104010 19.2427 06310018 -0.000567987 0.478395 19.2505
2 06310016 0.476895 0.000932008 19.2083 06310014 -0.000261397 0.478088 19.2101
3 06310012 0.476786 0.00104102 19.1900 06310015 -0.00348819 0.481315 19.1638