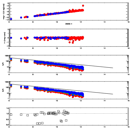
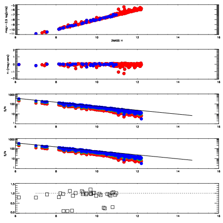
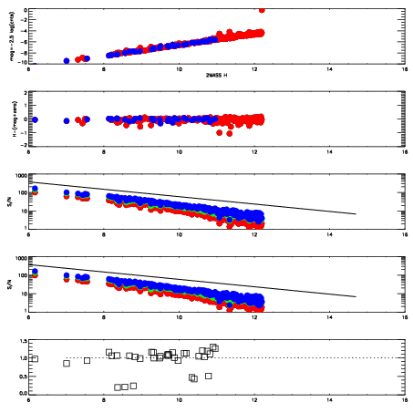
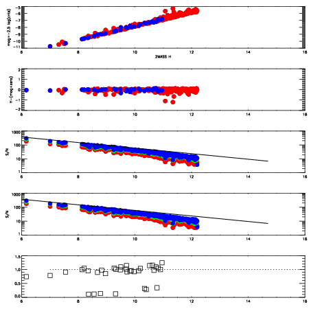
Frame | Nreads | Zeropoints | Mag plots
| Spatial mag deviation
| Spatial sky 16325A emission deviations (filled: sky, open: star)
| Spatial sky continuum emission
| Spatial sky telluric CO2 absorption deviations (filled: H < 10)
|
6620010
| 47
| | Red | Green | Blue
| z | | 18.03
| znorm | | 13.85
| sky | 13.5 | 13.4 | 13.5
| S/N | 7.1 | 12.8 | 13.0
| S/N(c) | 12.6 | 17.8 | 18.3
| SN(E/C) | 0.95
|
|
|
|
|
|
|
6620011
| 47
| | Red | Green | Blue
| z | | 17.92
| znorm | | 13.74
| sky | 13.5 | 13.5 | 13.7
| S/N | 6.4 | 11.7 | 12.3
| S/N(c) | 11.3 | 16.4 | 17.1
| SN(E/C) | 0.97
|
|
|
|
|
|
|
6620012
| 47
| | Red | Green | Blue
| z | | 17.79
| znorm | | 13.61
| sky | 13.5 | 13.5 | 13.7
| S/N | 5.7 | 10.6 | 11.4
| S/N(c) | 10.4 | 15.0 | 15.9
| SN(E/C) | 0.98
|
|
|
|
|
|
|
6620013
| 47
| | Red | Green | Blue
| z | | 17.83
| znorm | | 13.65
| sky | 13.6 | 13.5 | 13.7
| S/N | 5.8 | 10.8 | 11.3
| S/N(c) | 10.3 | 15.4 | 16.2
| SN(E/C) | 0.96
|
|
|
|
|
|
|
6620014
| 47
| | Red | Green | Blue
| z | | 16.63
| znorm | | 12.45
| sky | 13.3 | 13.3 | 13.5
| S/N | 1.9 | 3.9 | 4.3
| S/N(c) | 3.9 | 6.4 | 7.7
| SN(E/C) | 1.03
|
|
|
|
|
|
|
6620015
| 47
| | Red | Green | Blue
| z | | 17.28
| znorm | | 13.10
| sky | 13.4 | 13.4 | 13.5
| S/N | 3.6 | 6.8 | 7.7
| S/N(c) | 6.6 | 10.5 | 11.5
| SN(E/C) | 0.98
|
|
|
|
|
|
|
6620016
| 47
| | Red | Green | Blue
| z | | 16.22
| znorm | | 12.04
| sky | 13.3 | 13.4 | 13.6
| S/N | 1.2 | 2.8 | 3.1
| S/N(c) | 2.6 | 4.6 | 6.1
| SN(E/C) | 1.04
|
|
|
|
|
|
|
6620017
| 47
| | Red | Green | Blue
| z | | 16.59
| znorm | | 12.41
| sky | 13.3 | 13.3 | 13.6
| S/N | 1.8 | 3.7 | 4.4
| S/N(c) | 3.7 | 6.2 | 7.3
| SN(E/C) | 1.05
|
|
|
|
|
|
|