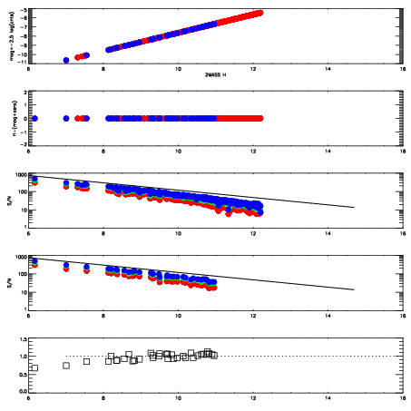
Left plots: red are targets, blue are telluric. Observed mags are calculated from median value of green chip. Zeropoint gives overall throughput: bigger number is more throughput.
First spatial plots: circles are objects, squares are tellurics, crosses are sky fibers. Colors give deviation of observed mag from expected 2MASS mag using the median zeropoint; red is brighter
Second spatial plots: circles are sky fibers. Colors give sky line brightness relative to plate median sky line brightness
FrameNreadsZeropointsMag plots Spatial mag deviation Spatial sky 16325A emission deviations (filled: sky, open: star) Spatial sky continuum emission Spatial sky telluric CO2 absorption deviations (filled: H < 10)
0 0
RedGreenBlue
z17.64
znorm Inf
sky -Inf -Inf -Inf
S/N 8.2 15.2 16.6
S/N(c) 0.0 0.0 0.0
SN(E/C) 1.00

IPAIRNAMESHIFTNEWSHIFTS/N NAMESHIFTNEWSHIFTS/N
0 06620016 0.486798 0.00000 16.1914 06620017 0.00531249 0.481485 16.5728
1 06620011 0.483887 0.00291100 17.9030 06620010 0.00000 0.486798 18.0145
2 06620012 0.484161 0.00263700 17.7741 06620013 0.00664632 0.480152 17.8254
3 06620015 0.486386 0.000411987 17.2748 06620014 0.00316934 0.483629 16.6075