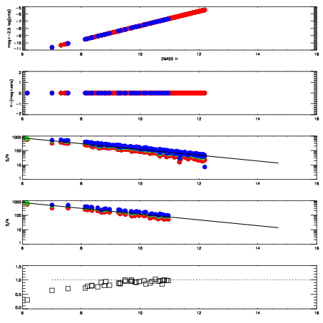
Left plots: red are targets, blue are telluric. Observed mags are calculated from median value of green chip. Zeropoint gives overall throughput: bigger number is more throughput.
First spatial plots: circles are objects, squares are tellurics, crosses are sky fibers. Colors give deviation of observed mag from expected 2MASS mag using the median zeropoint; red is brighter
Second spatial plots: circles are sky fibers. Colors give sky line brightness relative to plate median sky line brightness
FrameNreadsZeropointsMag plots Spatial mag deviation Spatial sky 16325A emission deviations (filled: sky, open: star) Spatial sky continuum emission Spatial sky telluric CO2 absorption deviations (filled: H < 10)
0 0
RedGreenBlue
z17.64
znorm Inf
sky -Inf -NaN -Inf
S/N 25.2 43.4 46.6
S/N(c) 0.0 0.0 0.0
SN(E/C) 0.92

IPAIRNAMESHIFTNEWSHIFTS/N NAMESHIFTNEWSHIFTS/N
0 06660016 0.487879 0.00000 18.9504 06660017 0.000333565 0.487545 18.9777
1 06660011 0.484270 0.00360900 19.0317 06660014 -0.000218356 0.488097 19.0517
2 06660012 0.484214 0.00366500 18.9904 06660013 0.00273231 0.485147 19.0055
3 06660015 0.487027 0.000852019 18.9349 06660010 0.00000 0.487879 18.9509