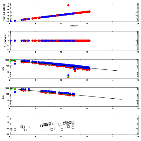
Left plots: red are targets, blue are telluric. Observed mags are calculated from median value of green chip. Zeropoint gives overall throughput: bigger number is more throughput.
First spatial plots: circles are objects, squares are tellurics, crosses are sky fibers. Colors give deviation of observed mag from expected 2MASS mag using the median zeropoint; red is brighter
Second spatial plots: circles are sky fibers. Colors give sky line brightness relative to plate median sky line brightness
FrameNreadsZeropointsMag plots Spatial mag deviation Spatial sky 16325A emission deviations (filled: sky, open: star) Spatial sky continuum emission Spatial sky telluric CO2 absorption deviations (filled: H < 10)
0 0
RedGreenBlue
z17.64
znorm Inf
sky -Inf -Inf -Inf
S/N 29.4 48.4 51.1
S/N(c) 0.0 0.0 0.0
SN(E/C) 0.78

IPAIRNAMESHIFTNEWSHIFTS/N NAMESHIFTNEWSHIFTS/N
0 06920032 0.500084 0.00000 19.1764 06920029 0.00809518 0.491989 19.1454
1 06920027 0.496877 0.00320697 19.2002 06920030 0.000556022 0.499528 19.1674
2 06920028 0.497366 0.00271797 19.1564 06920026 0.00000 0.500084 19.1416
3 06920031 0.499737 0.000346988 19.1513 06920033 0.00573471 0.494349 19.1368