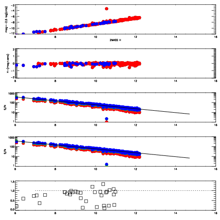
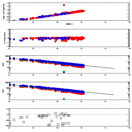
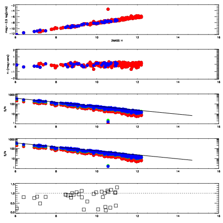
Left plots: red are targets, blue are telluric. Observed mags are calculated from median value of green chip. Zeropoint gives overall throughput: bigger number is more throughput.
First spatial plots: circles are objects, squares are tellurics, crosses are sky fibers. Colors give deviation of observed mag from expected 2MASS mag using the median zeropoint; red is brighter
Second spatial plots: circles are sky fibers. Colors give sky line brightness relative to plate median sky line brightness
FrameNreadsZeropointsMag plots Spatial mag deviation Spatial sky 16325A emission deviations (filled: sky, open: star) Spatial sky continuum emission Spatial sky telluric CO2 absorption deviations (filled: H < 10)
9250010 47
RedGreenBlue
z18.81
znorm14.63
sky 14.5 14.5 14.4
S/N 14.1 23.4 23.9
S/N(c) 10.3 7.8 30.0
SN(E/C) 0.84
9250011 47
RedGreenBlue
z18.67
znorm14.49
sky 14.4 14.6 14.8
S/N 12.2 20.7 21.7
S/N(c) 9.4 7.2 27.7
SN(E/C) 0.85
9250012 47
RedGreenBlue
z18.76
znorm14.58
sky 14.5 14.5 14.7
S/N 12.9 21.4 22.6
S/N(c) 9.6 7.4 29.0
SN(E/C) 0.86
9250013 47
RedGreenBlue
z18.16
znorm13.98
sky 14.5 14.5 14.5
S/N 8.3 15.0 15.2
S/N(c) 6.4 5.4 20.7
SN(E/C) 0.90