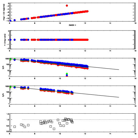
Left plots: red are targets, blue are telluric. Observed mags are calculated from median value of green chip. Zeropoint gives overall throughput: bigger number is more throughput.
First spatial plots: circles are objects, squares are tellurics, crosses are sky fibers. Colors give deviation of observed mag from expected 2MASS mag using the median zeropoint; red is brighter
Second spatial plots: circles are sky fibers. Colors give sky line brightness relative to plate median sky line brightness
FrameNreadsZeropointsMag plots Spatial mag deviation Spatial sky 16325A emission deviations (filled: sky, open: star) Spatial sky continuum emission Spatial sky telluric CO2 absorption deviations (filled: H < 10)
0 0
RedGreenBlue
z17.64
znorm Inf
sky -Inf -Inf -Inf
S/N 28.1 46.8 50.3
S/N(c) 0.0 0.0 0.0
SN(E/C) 0.79

IPAIRNAMESHIFTNEWSHIFTS/N NAMESHIFTNEWSHIFTS/N
0 09970045 0.519209 0.00000 19.1025 09970048 0.00302464 0.516184 19.0785
1 09970050 0.516068 0.00314105 19.1609 09970051 -0.00113057 0.520340 19.1338
2 09970046 0.518848 0.000361025 19.1217 09970047 0.00349894 0.515710 19.1056
3 09970049 0.516045 0.00316405 19.0980 09970044 0.00000 0.519209 19.0547