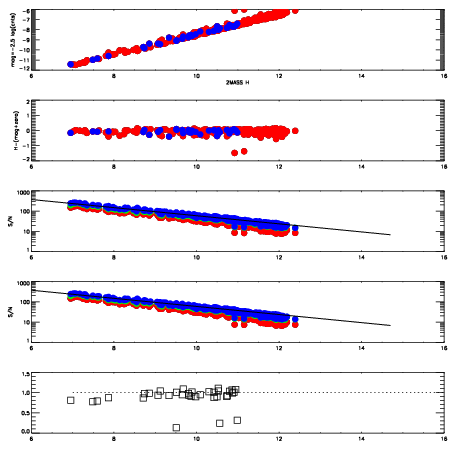
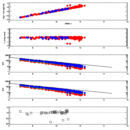
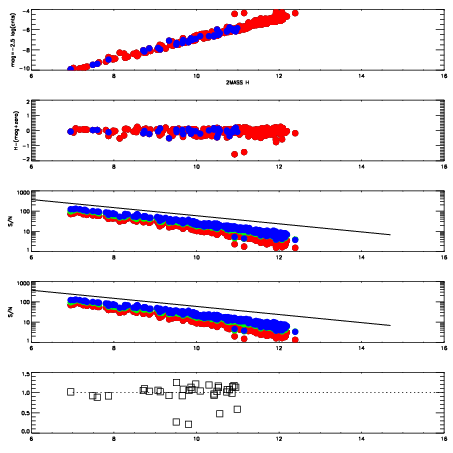
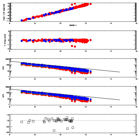
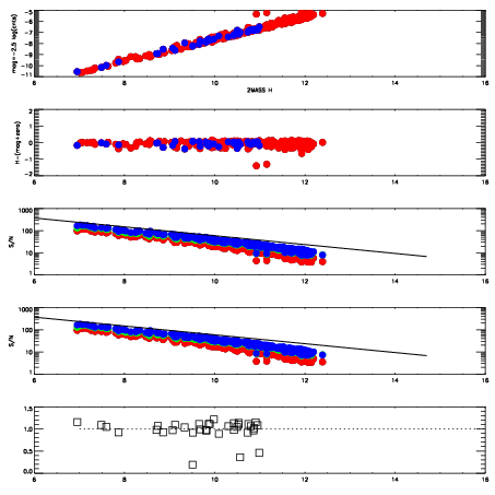
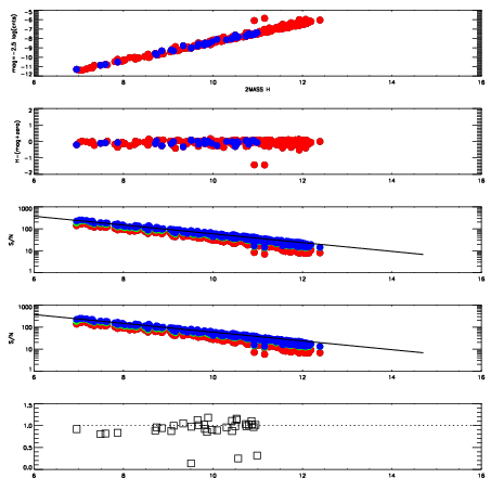
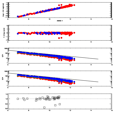
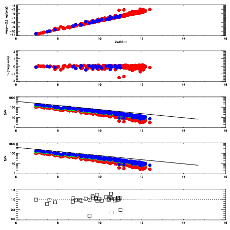
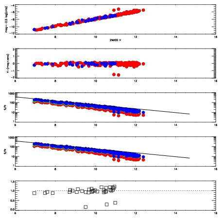
Frame | Nreads | Zeropoints | Mag plots
| Spatial mag deviation
| Spatial sky 16325A emission deviations (filled: sky, open: star)
| Spatial sky continuum emission
| Spatial sky telluric CO2 absorption deviations (filled: H < 10)
|
6900022
| 47
| | Red | Green | Blue
| z | | 17.75
| znorm | | 13.57
| sky | 14.3 | 14.0 | 14.1
| S/N | 5.8 | 10.6 | 10.2
| S/N(c) | 14.0 | 15.2 | 12.0
| SN(E/C) | 0.99
|
|
|
|
|
|
|
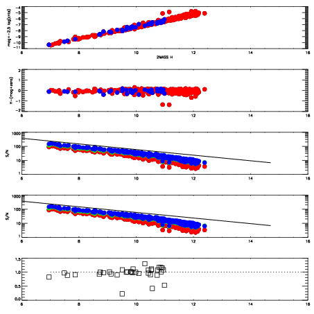
6900023
| 47
| | Red | Green | Blue
| z | | 18.44
| znorm | | 14.26
| sky | 14.3 | 14.3 | 14.4
| S/N | 10.0 | 17.2 | 16.9
| S/N(c) | 21.9 | 22.1 | 18.0
| SN(E/C) | 0.97
|
|
|
|
|
|
|
6900024
| 47
| | Red | Green | Blue
| z | | 17.95
| znorm | | 13.77
| sky | 14.4 | 14.2 | 14.5
| S/N | 6.9 | 12.4 | 12.4
| S/N(c) | 16.0 | 16.7 | 13.8
| SN(E/C) | 0.98
|
|
|
|
|
|
|
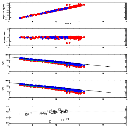
6900025
| 47
| | Red | Green | Blue
| z | | 17.41
| znorm | | 13.23
| sky | 14.2 | 14.1 | 14.3
| S/N | 4.2 | 8.7 | 8.9
| S/N(c) | 10.4 | 12.1 | 10.1
| SN(E/C) | 1.00
|
|
|
|
|
|
|
6900026
| 47
| | Red | Green | Blue
| z | | 18.52
| znorm | | 14.34
| sky | 14.3 | 14.3 | 14.4
| S/N | 10.9 | 18.1 | 18.0
| S/N(c) | 23.0 | 23.0 | 19.0
| SN(E/C) | 0.94
|
|
|
|
|
|
|
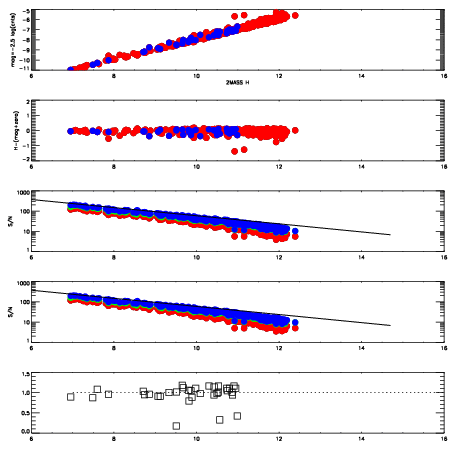
6900027
| 47
| | Red | Green | Blue
| z | | 17.66
| znorm | | 13.48
| sky | 14.3 | 14.2 | 14.4
| S/N | 5.4 | 10.2 | 10.8
| S/N(c) | 12.7 | 14.3 | 11.6
| SN(E/C) | 1.04
|
|
|
|
|
|
|
6900028
| 47
| | Red | Green | Blue
| z | | 18.22
| znorm | | 14.04
| sky | 14.3 | 14.3 | 14.5
| S/N | 8.6 | 15.0 | 15.6
| S/N(c) | 18.6 | 19.5 | 16.3
| SN(E/C) | 0.96
|
|
|
|
|
|
|
6900029
| 47
| | Red | Green | Blue
| z | | 17.76
| znorm | | 13.58
| sky | 14.3 | 14.1 | 14.3
| S/N | 5.9 | 11.0 | 11.8
| S/N(c) | 13.6 | 15.0 | 12.3
| SN(E/C) | 1.00
|
|
|
|
|
|
|
6900030
| 47
| | Red | Green | Blue
| z | | 17.97
| znorm | | 13.79
| sky | 14.2 | 14.2 | 14.4
| S/N | 7.0 | 13.0 | 13.3
| S/N(c) | 15.7 | 17.0 | 14.1
| SN(E/C) | 1.00
|
|
|
|
|
|
|
6900031
| 47
| | Red | Green | Blue
| z | | 17.62
| znorm | | 13.44
| sky | 14.3 | 14.4 | 14.4
| S/N | 5.1 | 10.5 | 10.9
| S/N(c) | 12.2 | 14.0 | 11.5
| SN(E/C) | 0.99
|
|
|
|
|
|
|
6900032
| 47
| | Red | Green | Blue
| z | | 17.61
| znorm | | 13.43
| sky | 14.3 | 14.3 | 14.3
| S/N | 5.4 | 10.1 | 10.7
| S/N(c) | 12.4 | 13.9 | 11.5
| SN(E/C) | 1.01
|
|
|
|
|
|
|
6900033
| 47
| | Red | Green | Blue
| z | | 16.93
| znorm | | 12.75
| sky | 14.2 | 14.1 | 14.3
| S/N | 2.9 | 5.7 | 6.9
| S/N(c) | 7.1 | 8.8 | 7.5
| SN(E/C) | 1.04
|
|
|
|
|
|
|