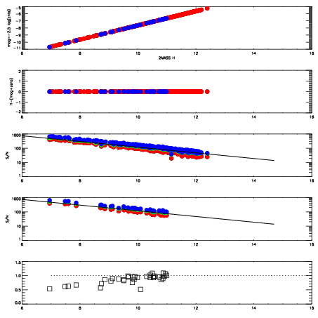
Left plots: red are targets, blue are telluric. Observed mags are calculated from median value of green chip. Zeropoint gives overall throughput: bigger number is more throughput.
First spatial plots: circles are objects, squares are tellurics, crosses are sky fibers. Colors give deviation of observed mag from expected 2MASS mag using the median zeropoint; red is brighter
Second spatial plots: circles are sky fibers. Colors give sky line brightness relative to plate median sky line brightness
FrameNreadsZeropointsMag plots Spatial mag deviation Spatial sky 16325A emission deviations (filled: sky, open: star) Spatial sky continuum emission Spatial sky telluric CO2 absorption deviations (filled: H < 10)
0 0
RedGreenBlue
z17.64
znorm Inf
sky -Inf -Inf -NaN
S/N 28.4 47.2 49.5
S/N(c) 0.0 0.0 0.0
SN(E/C) 0.93

IPAIRNAMESHIFTNEWSHIFTS/N NAMESHIFTNEWSHIFTS/N
0 06940032 0.496892 0.00000 19.1615 06940030 0.00284653 0.494045 19.1285
1 06940031 0.496572 0.000320017 19.1625 06940033 0.00552464 0.491367 19.1772
2 06940028 0.496633 0.000259012 19.1142 06940029 0.00126533 0.495627 19.1175
3 06940027 0.496108 0.000784010 19.0989 06940026 0.00000 0.496892 19.1076