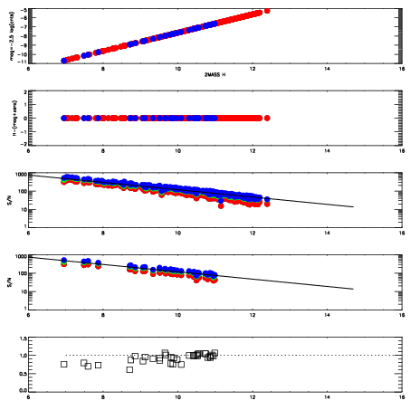
Left plots: red are targets, blue are telluric. Observed mags are calculated from median value of green chip. Zeropoint gives overall throughput: bigger number is more throughput.
First spatial plots: circles are objects, squares are tellurics, crosses are sky fibers. Colors give deviation of observed mag from expected 2MASS mag using the median zeropoint; red is brighter
Second spatial plots: circles are sky fibers. Colors give sky line brightness relative to plate median sky line brightness
FrameNreadsZeropointsMag plots Spatial mag deviation Spatial sky 16325A emission deviations (filled: sky, open: star) Spatial sky continuum emission Spatial sky telluric CO2 absorption deviations (filled: H < 10)
0 0
RedGreenBlue
z17.64
znorm Inf
sky -Inf -Inf -Inf
S/N 23.5 40.6 42.8
S/N(c) 0.0 0.0 0.0
SN(E/C) 0.95

IPAIRNAMESHIFTNEWSHIFTS/N NAMESHIFTNEWSHIFTS/N
0 07200013 0.472475 0.00000 18.7153 07200015 0.000378934 0.472096 18.8379
1 07200016 0.471668 0.000806987 18.9412 07200018 -0.000717625 0.473193 18.9046
2 07200017 0.471858 0.000616997 18.7423 07200011 0.00000 0.472475 18.8897
3 07200012 0.472353 0.000121981 18.6527 07200014 0.000295020 0.472180 18.8343