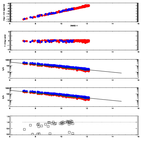
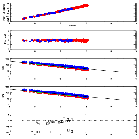
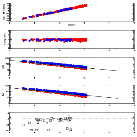
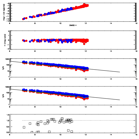
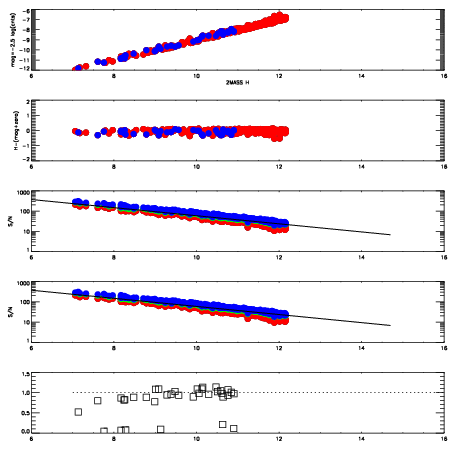
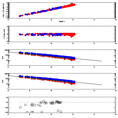
Frame | Nreads | Zeropoints | Mag plots
| Spatial mag deviation
| Spatial sky 16325A emission deviations (filled: sky, open: star)
| Spatial sky continuum emission
| Spatial sky telluric CO2 absorption deviations (filled: H < 10)
|
9980086
| 47
| | Red | Green | Blue
| z | | 19.18
| znorm | | 15.00
| sky | 15.1 | 14.5 | 14.4
| S/N | 16.2 | 25.8 | 26.5
| S/N(c) | 29.8 | 40.7 | 7.3
| SN(E/C) | 0.89
|
|
|
|
|
|
|
9980087
| 47
| | Red | Green | Blue
| z | | 19.18
| znorm | | 15.00
| sky | 14.9 | 14.6 | 14.7
| S/N | 16.3 | 25.9 | 27.4
| S/N(c) | 30.0 | 40.3 | 7.4
| SN(E/C) | 0.92
|
|
|
|
|
|
|
9980088
| 47
| | Red | Green | Blue
| z | | 19.21
| znorm | | 15.03
| sky | 14.9 | 14.6 | 14.6
| S/N | 16.6 | 26.4 | 28.2
| S/N(c) | 30.5 | 41.2 | 7.4
| SN(E/C) | 0.92
|
|
|
|
|
|
|
9980089
| 47
| | Red | Green | Blue
| z | | 19.21
| znorm | | 15.03
| sky | 15.0 | 14.7 | 14.6
| S/N | 16.7 | 26.0 | 28.0
| S/N(c) | 30.4 | 41.6 | 7.4
| SN(E/C) | 0.88
|
|
|
|
|
|
|
9980090
| 47
| | Red | Green | Blue
| z | | 19.15
| znorm | | 14.97
| sky | 14.8 | 14.8 | 14.6
| S/N | 16.2 | 25.3 | 27.6
| S/N(c) | 29.6 | 40.4 | 7.2
| SN(E/C) | 0.90
|
|
|
|
|
|
|
9980091
| 47
| | Red | Green | Blue
| z | | 19.07
| znorm | | 14.89
| sky | 14.9 | 14.8 | 14.7
| S/N | 15.2 | 24.4 | 26.5
| S/N(c) | 28.1 | 38.4 | 6.9
| SN(E/C) | 0.93
|
|
|
|
|
|
|
9980092
| 47
| | Red | Green | Blue
| z | | 19.19
| znorm | | 15.01
| sky | 14.6 | 14.7 | 14.8
| S/N | 16.3 | 26.1 | 28.4
| S/N(c) | 30.1 | 40.5 | 7.3
| SN(E/C) | 0.92
|
|
|
|
|
|
|
9980093
| 47
| | Red | Green | Blue
| z | | 19.19
| znorm | | 15.01
| sky | 14.7 | 14.7 | 14.6
| S/N | 16.7 | 26.0 | 28.3
| S/N(c) | 30.1 | 40.1 | 7.3
| SN(E/C) | 0.90
|
|
|
|
|
|
|