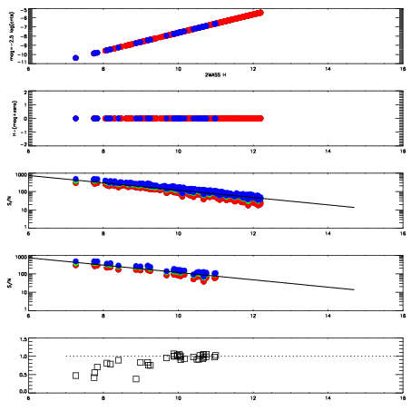
Left plots: red are targets, blue are telluric. Observed mags are calculated from median value of green chip. Zeropoint gives overall throughput: bigger number is more throughput.
First spatial plots: circles are objects, squares are tellurics, crosses are sky fibers. Colors give deviation of observed mag from expected 2MASS mag using the median zeropoint; red is brighter
Second spatial plots: circles are sky fibers. Colors give sky line brightness relative to plate median sky line brightness
FrameNreadsZeropointsMag plots Spatial mag deviation Spatial sky 16325A emission deviations (filled: sky, open: star) Spatial sky continuum emission Spatial sky telluric CO2 absorption deviations (filled: H < 10)
0 0
RedGreenBlue
z17.64
znorm Inf
sky -Inf -Inf -Inf
S/N 26.7 46.1 49.2
S/N(c) 0.0 0.0 0.0
SN(E/C) 0.95

IPAIRNAMESHIFTNEWSHIFTS/N NAMESHIFTNEWSHIFTS/N
0 10210102 0.492684 0.00000 19.0934 10210096 0.00000 0.492684 19.0843
1 10210097 0.490049 0.00263500 19.1094 10210100 0.00258704 0.490097 19.0941
2 10210101 0.492343 0.000340998 19.0704 10210103 0.00578560 0.486898 19.0568
3 10210098 0.490907 0.00177699 19.0694 10210099 0.00251537 0.490169 19.0377