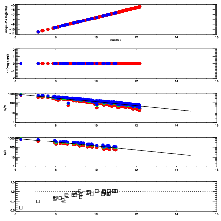
Left plots: red are targets, blue are telluric. Observed mags are calculated from median value of green chip. Zeropoint gives overall throughput: bigger number is more throughput.
First spatial plots: circles are objects, squares are tellurics, crosses are sky fibers. Colors give deviation of observed mag from expected 2MASS mag using the median zeropoint; red is brighter
Second spatial plots: circles are sky fibers. Colors give sky line brightness relative to plate median sky line brightness
FrameNreadsZeropointsMag plots Spatial mag deviation Spatial sky 16325A emission deviations (filled: sky, open: star) Spatial sky continuum emission Spatial sky telluric CO2 absorption deviations (filled: H < 10)
0 0
RedGreenBlue
z17.64
znorm Inf
sky -NaN -Inf -Inf
S/N 27.0 48.3 50.9
S/N(c) 0.0 0.0 0.0
SN(E/C) 0.88

IPAIRNAMESHIFTNEWSHIFTS/N NAMESHIFTNEWSHIFTS/N
0 10250100 0.496290 0.00000 19.0514 10250101 0.00453620 0.491754 19.0765
1 10250103 0.495702 0.000588000 19.1766 10250102 0.00471811 0.491572 19.1798
2 10250099 0.494690 0.00160000 18.9901 10250098 0.00435380 0.491936 19.0165
3 10250096 0.491916 0.00437400 18.9647 10250097 0.00359406 0.492696 18.9993
4 10250095 0.491320 0.00496998 18.8914 10250094 0.00000 0.496290 18.8321