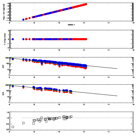
Left plots: red are targets, blue are telluric. Observed mags are calculated from median value of green chip. Zeropoint gives overall throughput: bigger number is more throughput.
First spatial plots: circles are objects, squares are tellurics, crosses are sky fibers. Colors give deviation of observed mag from expected 2MASS mag using the median zeropoint; red is brighter
Second spatial plots: circles are sky fibers. Colors give sky line brightness relative to plate median sky line brightness
FrameNreadsZeropointsMag plots Spatial mag deviation Spatial sky 16325A emission deviations (filled: sky, open: star) Spatial sky continuum emission Spatial sky telluric CO2 absorption deviations (filled: H < 10)
0 0
RedGreenBlue
z17.64
znorm Inf
sky -Inf -Inf -NaN
S/N 23.7 40.1 41.9
S/N(c) 0.0 0.0 0.0
SN(E/C) 0.93

IPAIRNAMESHIFTNEWSHIFTS/N NAMESHIFTNEWSHIFTS/N
0 10310046 0.527052 0.00000 18.8835 10310047 0.000798589 0.526253 18.1505
1 10310049 0.525690 0.00136197 19.0568 10310051 0.000343358 0.526709 19.0165
2 10310050 0.526207 0.000845015 18.9879 10310044 0.00000 0.527052 18.8380
3 10310045 0.526043 0.00100899 18.9407 10310048 0.000454452 0.526598 18.5652