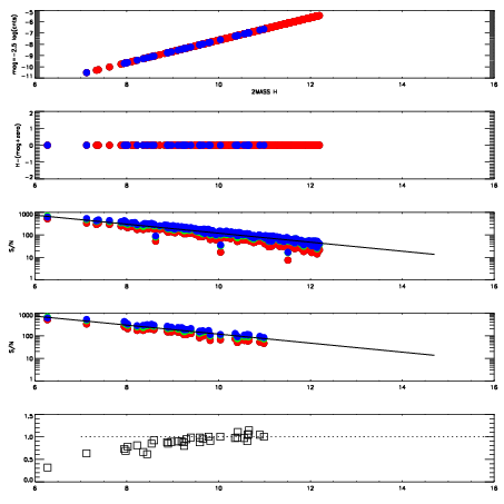
Left plots: red are targets, blue are telluric. Observed mags are calculated from median value of green chip. Zeropoint gives overall throughput: bigger number is more throughput.
First spatial plots: circles are objects, squares are tellurics, crosses are sky fibers. Colors give deviation of observed mag from expected 2MASS mag using the median zeropoint; red is brighter
Second spatial plots: circles are sky fibers. Colors give sky line brightness relative to plate median sky line brightness
FrameNreadsZeropointsMag plots Spatial mag deviation Spatial sky 16325A emission deviations (filled: sky, open: star) Spatial sky continuum emission Spatial sky telluric CO2 absorption deviations (filled: H < 10)
0 0
RedGreenBlue
z17.64
znorm Inf
sky -Inf -Inf -Inf
S/N 24.6 40.8 44.7
S/N(c) 0.0 0.0 0.0
SN(E/C) 0.90

IPAIRNAMESHIFTNEWSHIFTS/N NAMESHIFTNEWSHIFTS/N
0 10750077 0.490994 0.00000 18.8960 10750079 -0.000983562 0.491978 19.0392
1 10750073 0.490718 0.000275999 18.8678 10750076 -0.000321966 0.491316 18.9451
2 10750074 0.490670 0.000324011 18.8610 10750075 -0.000699473 0.491693 18.8708
3 10750078 0.489620 0.00137401 18.8568 10750072 0.00000 0.490994 18.7422