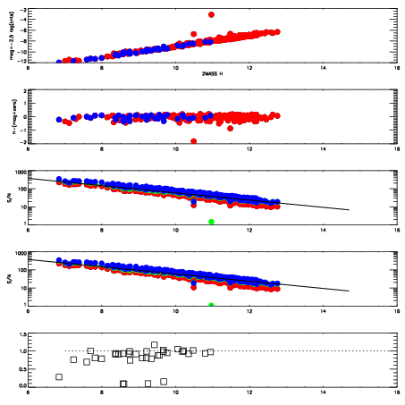
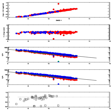
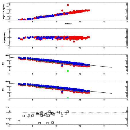
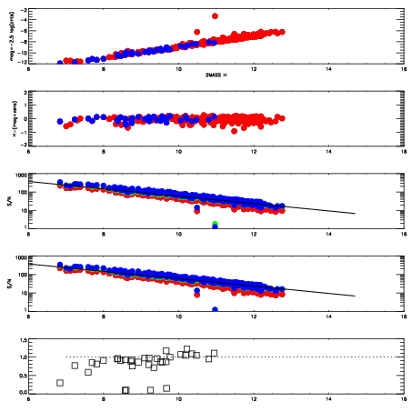
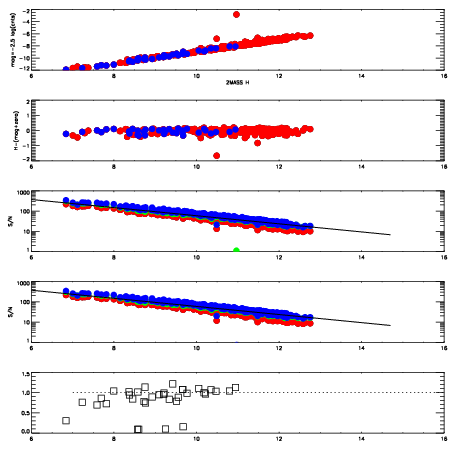
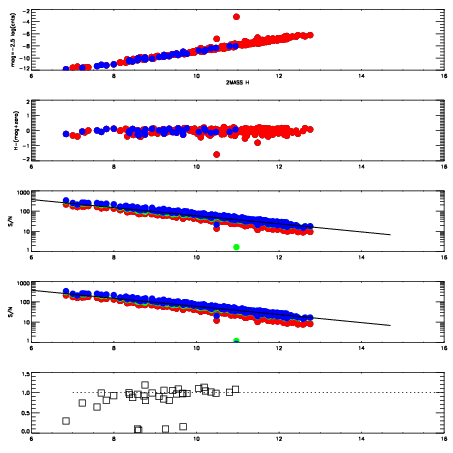
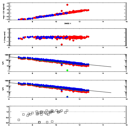
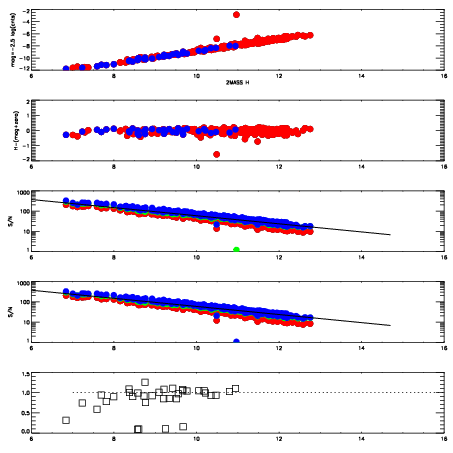
Frame | Nreads | Zeropoints | Mag plots
| Spatial mag deviation
| Spatial sky 16325A emission deviations (filled: sky, open: star)
| Spatial sky continuum emission
| Spatial sky telluric CO2 absorption deviations (filled: H < 10)
|
6950036
| 47
| | Red | Green | Blue
| z | | 18.97
| znorm | | 14.79
| sky | 14.6 | 14.2 | 14.1
| S/N | 14.9 | 24.4 | 25.8
| S/N(c) | 20.0 | 17.3 | 21.4
| SN(E/C) | 0.90
|
|
|
|
|
|
|
6950037
| 47
| | Red | Green | Blue
| z | | 19.07
| znorm | | 14.89
| sky | 14.5 | 14.3 | 14.2
| S/N | 15.9 | 25.6 | 27.0
| S/N(c) | 21.9 | 18.4 | 22.8
| SN(E/C) | 0.85
|
|
|
|
|
|
|
6950038
| 47
| | Red | Green | Blue
| z | | 19.00
| znorm | | 14.82
| sky | 14.8 | 14.4 | 14.2
| S/N | 15.3 | 25.2 | 26.0
| S/N(c) | 21.1 | 18.0 | 22.2
| SN(E/C) | 0.94
|
|
|
|
|
|
|
6950039
| 47
| | Red | Green | Blue
| z | | 19.02
| znorm | | 14.84
| sky | 14.6 | 14.4 | 14.4
| S/N | 15.3 | 25.1 | 26.2
| S/N(c) | 21.3 | 17.9 | 22.3
| SN(E/C) | 0.92
|
|
|
|
|
|
|
6950040
| 47
| | Red | Green | Blue
| z | | 18.91
| znorm | | 14.73
| sky | 14.5 | 14.4 | 14.4
| S/N | 14.5 | 23.7 | 24.7
| S/N(c) | 19.9 | 17.4 | 21.5
| SN(E/C) | 0.97
|
|
|
|
|
|
|
6950041
| 47
| | Red | Green | Blue
| z | | 18.97
| znorm | | 14.79
| sky | 14.6 | 14.5 | 14.4
| S/N | 14.9 | 24.3 | 25.4
| S/N(c) | 20.3 | 17.6 | 22.0
| SN(E/C) | 0.95
|
|
|
|
|
|
|
6950042
| 47
| | Red | Green | Blue
| z | | 19.02
| znorm | | 14.84
| sky | 14.5 | 14.5 | 14.4
| S/N | 15.3 | 25.5 | 26.4
| S/N(c) | 21.2 | 18.2 | 22.7
| SN(E/C) | 0.89
|
|
|
|
|
|
|
6950043
| 47
| | Red | Green | Blue
| z | | 18.90
| znorm | | 14.72
| sky | 14.6 | 14.5 | 14.5
| S/N | 14.4 | 23.8 | 24.7
| S/N(c) | 19.7 | 17.3 | 21.3
| SN(E/C) | 0.93
|
|
|
|
|
|
|
6950044
| 47
| | Red | Green | Blue
| z | | 18.96
| znorm | | 14.78
| sky | 14.8 | 14.6 | 14.5
| S/N | 14.9 | 24.8 | 25.8
| S/N(c) | 20.5 | 17.7 | 22.3
| SN(E/C) | 0.91
|
|
|
|
|
|
|
6950045
| 47
| | Red | Green | Blue
| z | | 18.95
| znorm | | 14.77
| sky | 14.8 | 14.6 | 14.5
| S/N | 14.5 | 24.7 | 25.3
| S/N(c) | 20.2 | 17.7 | 21.8
| SN(E/C) | 0.91
|
|
|
|
|
|
|